🇳🇴 🇬🇧 🇩🇪 🇨🇿 🇫🇮

Meteor, poloha: Andenes 2023-12-14 23:56:26 UTC

Soubor KML  |  InteraktivnĂ­ mapa

Mapa zobrazuje dráhy meteoru. Světlejší čáry ukazují směry od pozorovacích stanic při objevení se meteoru a tmavší čáry, kde byl naposledy viděn. Modrá šipka značí viditelnou dráhu meteoru.

static map
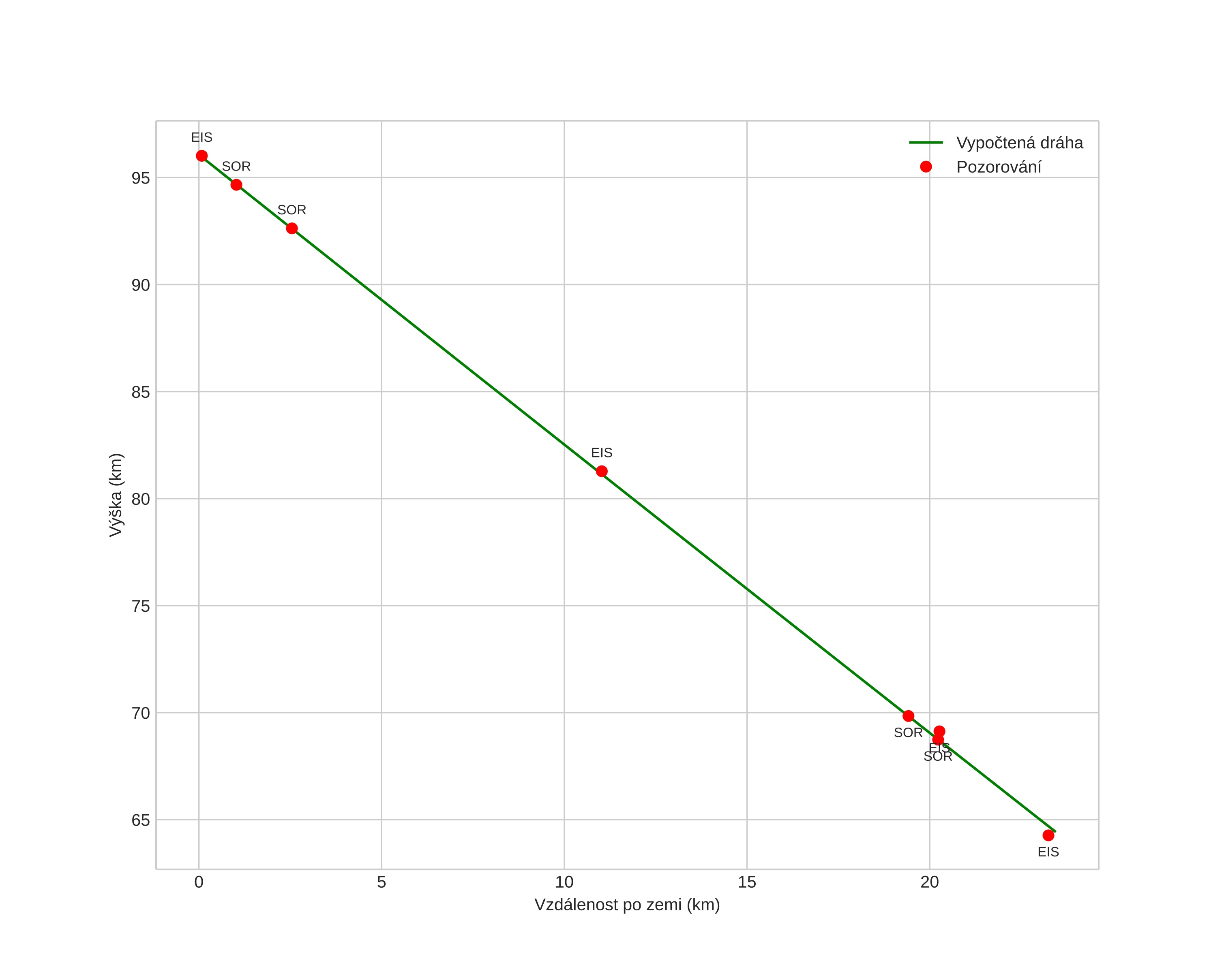
height profile
Atmosférická dráha meteoru:
Počáteční výška: 95,6 km
Konečná výška: 68,2 km
Počáteční poloha: 69,341N 16,320E
Konečná poloha: 69,510N 16,135E
Směr: 339,1°
Sklon: 53,7°
VstupnĂ­ rychlost: 36,8 km/s
Rektascenze radiantu: 07:31 (113,0°)
Deklinace radiantu: 33,1°
MeteorickĂ˝ roj: Geminidy
Elementy dráhy meteoroidu:
Vzdálenost v periheliu: 0,149 AU
Excentricita: 0,900
Sklon dráhy: 25,0°
Délka vzestupného uzlu: 262,4°
Argument perihelia: 322,2°
Střední anomálie: 340,0°
Epocha: 2023 DEC 14 23:56:26
orbit plot

NeinteraktivnĂ­ graf | InteraktivnĂ­ graf

position vs time
speed and acceleration