🇳🇴 🇬🇧 🇩🇪 🇨🇿 🇫🇮

Meteor, poloha: Kiruna 2023-12-15 00:06:02 UTC

Soubor KML  |  InteraktivnĂ­ mapa

Mapa zobrazuje dráhy meteoru. Světlejší čáry ukazují směry od pozorovacích stanic při objevení se meteoru a tmavší čáry, kde byl naposledy viděn. Modrá šipka značí viditelnou dráhu meteoru.

static map
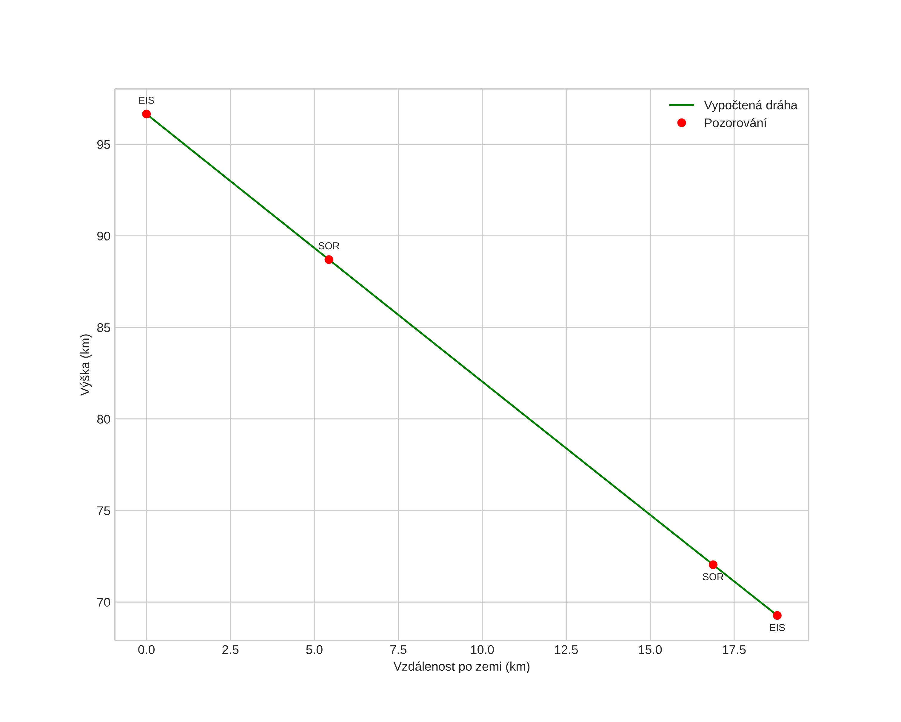
height profile
Atmosférická dráha meteoru:
Počáteční výška: 97,4 km
Konečná výška: 70,5 km
Počáteční poloha: 67,615N 20,870E
Konečná poloha: 67,766N 20,778E
Směr: 347,0°
Sklon: 57,4°
VstupnĂ­ rychlost: 35,0 km/s
Rektascenze radiantu: 07:34 (113,6°)
Deklinace radiantu: 34,5°
MeteorickĂ˝ roj: Geminidy
Elementy dráhy meteoroidu:
Vzdálenost v periheliu: 0,169 AU
Excentricita: 0,871
Sklon dráhy: 25,2°
Délka vzestupného uzlu: 262,4°
Argument perihelia: 321,2°
Střední anomálie: 334,4°
Epocha: 2023 DEC 15 00:06:02
orbit plot

NeinteraktivnĂ­ graf | InteraktivnĂ­ graf

position vs time
speed and acceleration