🇳🇴 🇬🇧 🇩🇪 🇨🇿 🇫🇮

Meteor, poloha: Hamnvik 2023-12-15 00:33:10 UTC

Soubor KML  |  InteraktivnĂ­ mapa

Mapa zobrazuje dráhy meteoru. Světlejší čáry ukazují směry od pozorovacích stanic při objevení se meteoru a tmavší čáry, kde byl naposledy viděn. Modrá šipka značí viditelnou dráhu meteoru.

static map
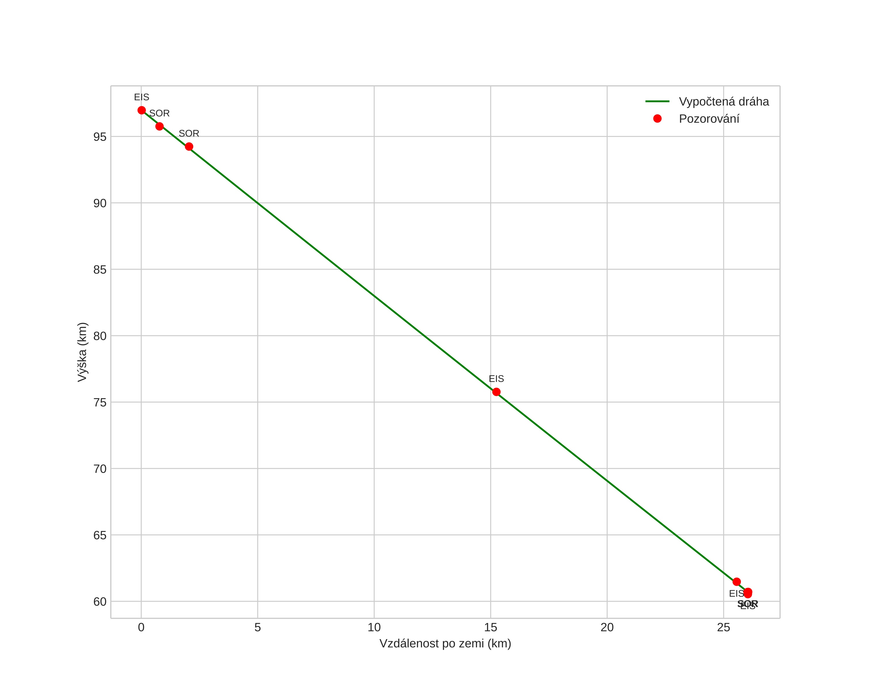
height profile
Atmosférická dráha meteoru:
Počáteční výška: 94,9 km
Konečná výška: 61,0 km
Počáteční poloha: 68,753N 17,161E
Konečná poloha: 68,973N 17,056E
Směr: 350,3°
Sklon: 53,8°
VstupnĂ­ rychlost: 34,4 km/s
Rektascenze radiantu: 07:39 (114,9°)
Deklinace radiantu: 31,7°
MeteorickĂ˝ roj: Geminidy
Elementy dráhy meteoroidu:
Vzdálenost v periheliu: 0,146 AU
Excentricita: 0,875
Sklon dráhy: 21,1°
Délka vzestupného uzlu: 262,4°
Argument perihelia: 325,5°
Střední anomálie: 329,8°
Epocha: 2023 DEC 15 00:33:10
orbit plot

NeinteraktivnĂ­ graf | InteraktivnĂ­ graf

position vs time
speed and acceleration