🇳🇴 🇬🇧 🇩🇪 🇨🇿 🇫🇮

Meteor, poloha: Storsteinnes 2023-12-15 00:44:39 UTC

Soubor KML  |  InteraktivnĂ­ mapa

Mapa zobrazuje dráhy meteoru. Světlejší čáry ukazují směry od pozorovacích stanic při objevení se meteoru a tmavší čáry, kde byl naposledy viděn. Modrá šipka značí viditelnou dráhu meteoru.

static map
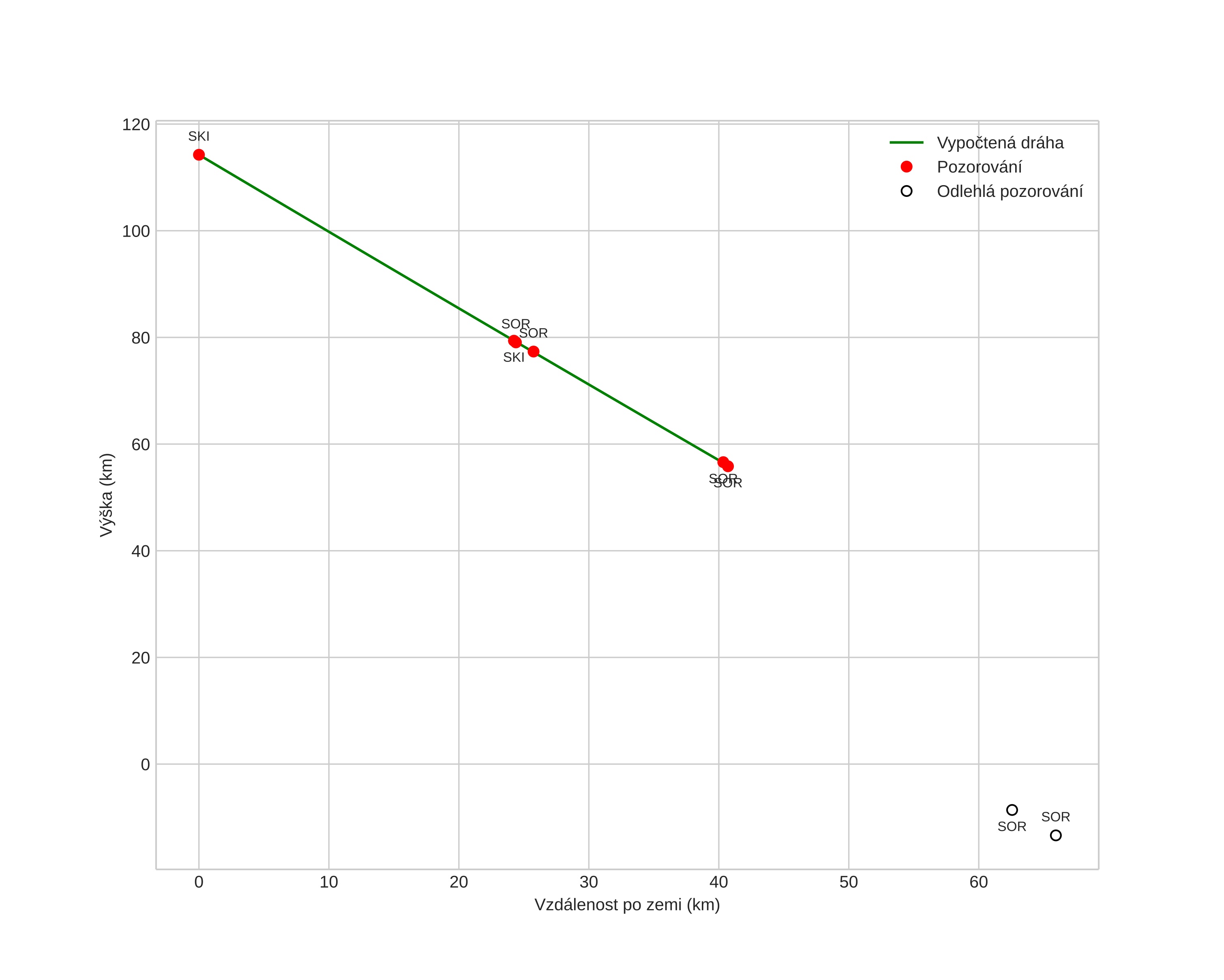
height profile
Atmosférická dráha meteoru:
Počáteční výška: 114,1 km
Konečná výška: 56,1 km
Počáteční poloha: 68,470N 19,105E
Konečná poloha: 68,835N 19,148E
Směr: 2,5°
Sklon: 55,0°
VstupnĂ­ rychlost: 24,6 km/s
Rektascenze radiantu: 07:24 (111,0°)
Deklinace radiantu: 31,4°
MeteorickĂ˝ roj: sporadickĂ˝
Elementy dráhy meteoroidu:
Vzdálenost v periheliu: 0,291 AU
Excentricita: 0,684
Sklon dráhy: 9,6°
Délka vzestupného uzlu: 262,4°
Argument perihelia: 317,3°
Střední anomálie: 303,2°
Epocha: 2023 DEC 15 00:44:39
orbit plot

NeinteraktivnĂ­ graf | InteraktivnĂ­ graf

position vs time
speed and acceleration