🇳🇴 🇬🇧 🇩🇪 🇨🇿 🇫🇮

Meteor, poloha: Olderdalen 2023-12-15 00:51:24 UTC

Soubor KML  |  InteraktivnĂ­ mapa

Mapa zobrazuje dráhy meteoru. Světlejší čáry ukazují směry od pozorovacích stanic při objevení se meteoru a tmavší čáry, kde byl naposledy viděn. Modrá šipka značí viditelnou dráhu meteoru.

static map
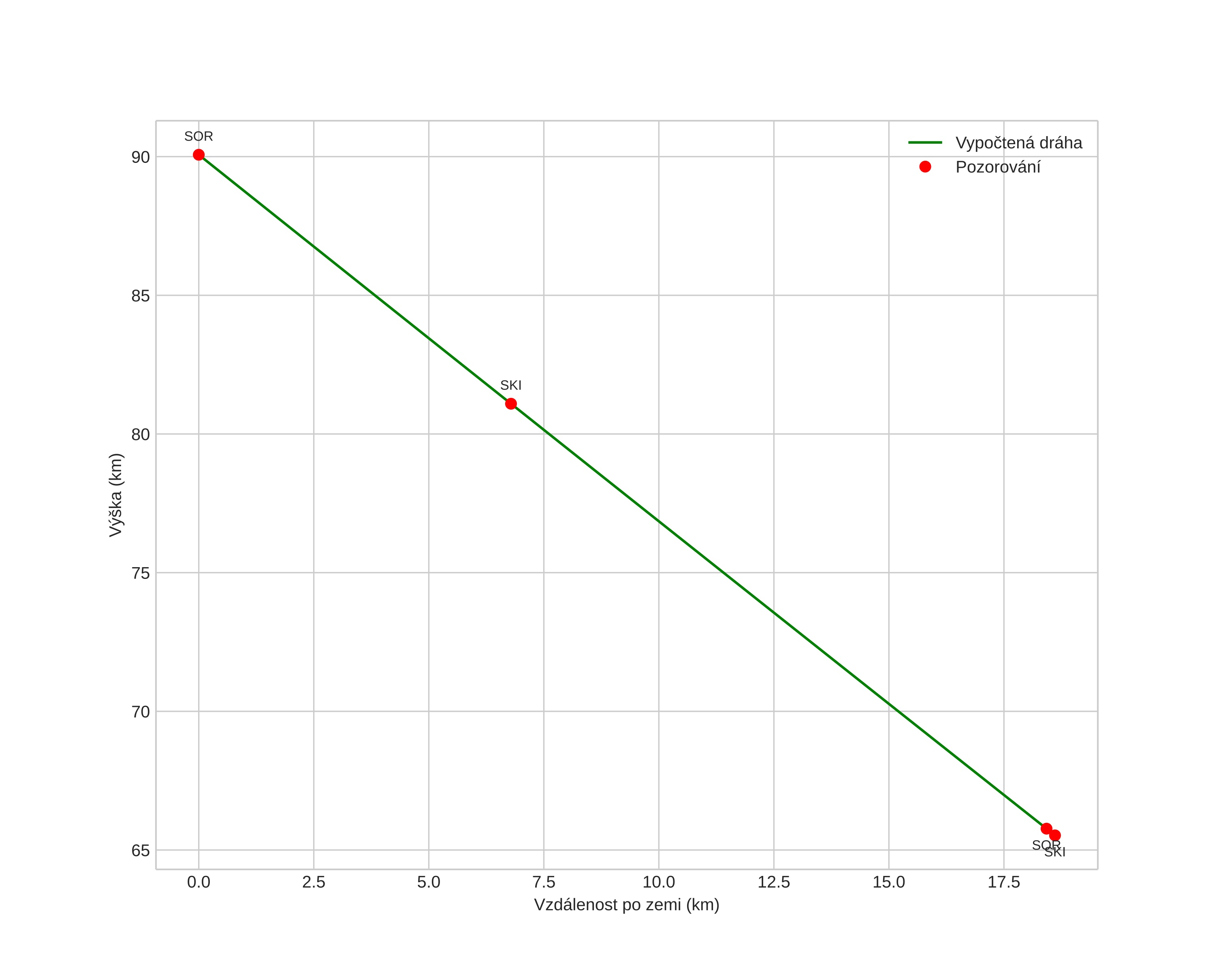
height profile
Atmosférická dráha meteoru:
Počáteční výška: 89,8 km
Konečná výška: 64,9 km
Počáteční poloha: 68,895N 20,724E
Konečná poloha: 69,061N 20,814E
Směr: 11,0°
Sklon: 52,8°
VstupnĂ­ rychlost: 32,1 km/s
Rektascenze radiantu: 07:13 (108,3°)
Deklinace radiantu: 30,7°
MeteorickĂ˝ roj: Geminidy
Elementy dráhy meteoroidu:
Vzdálenost v periheliu: 0,214 AU
Excentricita: 0,836
Sklon dráhy: 13,3°
Délka vzestupného uzlu: 262,4°
Argument perihelia: 316,1°
Střední anomálie: 332,7°
Epocha: 2023 DEC 15 00:51:24
orbit plot

NeinteraktivnĂ­ graf | InteraktivnĂ­ graf

position vs time
speed and acceleration