🇳🇴 🇬🇧 🇩🇪 🇨🇿 🇫🇮

Meteor, poloha: Andenes 2023-12-15 01:00:55 UTC

Soubor KML  |  InteraktivnĂ­ mapa

Mapa zobrazuje dráhy meteoru. Světlejší čáry ukazují směry od pozorovacích stanic při objevení se meteoru a tmavší čáry, kde byl naposledy viděn. Modrá šipka značí viditelnou dráhu meteoru.

static map
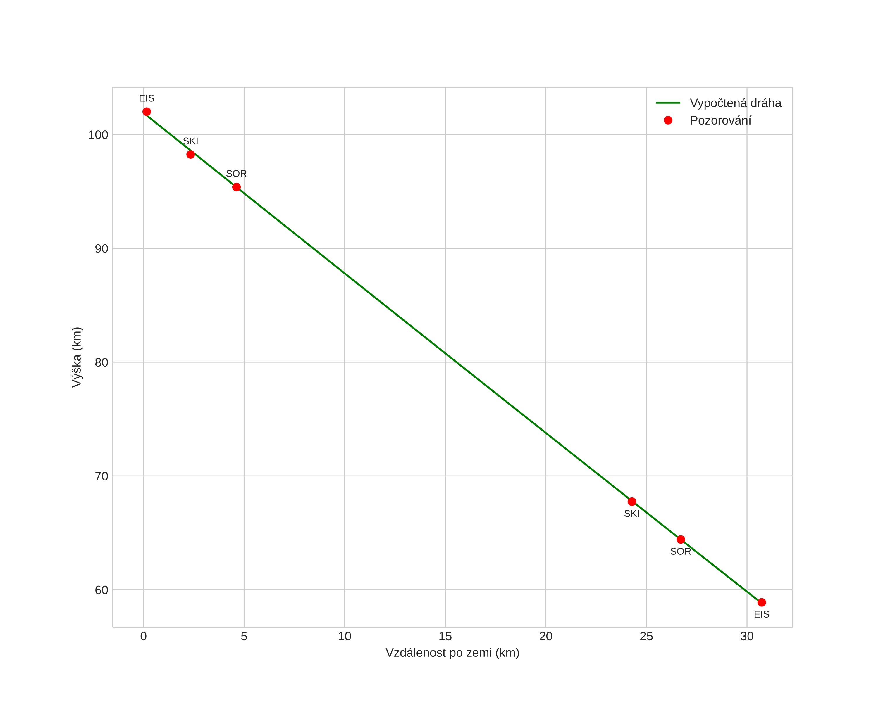
height profile
Atmosférická dráha meteoru:
Počáteční výška: 101,4 km
Konečná výška: 58,9 km
Počáteční poloha: 69,410N 15,983E
Konečná poloha: 69,686N 16,003E
Směr: 1,5°
Sklon: 54,2°
VstupnĂ­ rychlost: 37,2 km/s
Rektascenze radiantu: 07:31 (112,8°)
Deklinace radiantu: 32,7°
MeteorickĂ˝ roj: Geminidy
Elementy dráhy meteoroidu:
Vzdálenost v periheliu: 0,145 AU
Excentricita: 0,906
Sklon dráhy: 24,6°
Délka vzestupného uzlu: 262,4°
Argument perihelia: 322,5°
Střední anomálie: 341,2°
Epocha: 2023 DEC 15 01:00:55
orbit plot

NeinteraktivnĂ­ graf | InteraktivnĂ­ graf

position vs time
speed and acceleration