🇳🇴 🇬🇧 🇩🇪 🇨🇿 🇫🇮

Meteor, poloha: Røst 2023-12-15 01:43:56 UTC

Soubor KML  |  InteraktivnĂ­ mapa

Mapa zobrazuje dráhy meteoru. Světlejší čáry ukazují směry od pozorovacích stanic při objevení se meteoru a tmavší čáry, kde byl naposledy viděn. Modrá šipka značí viditelnou dráhu meteoru.

static map
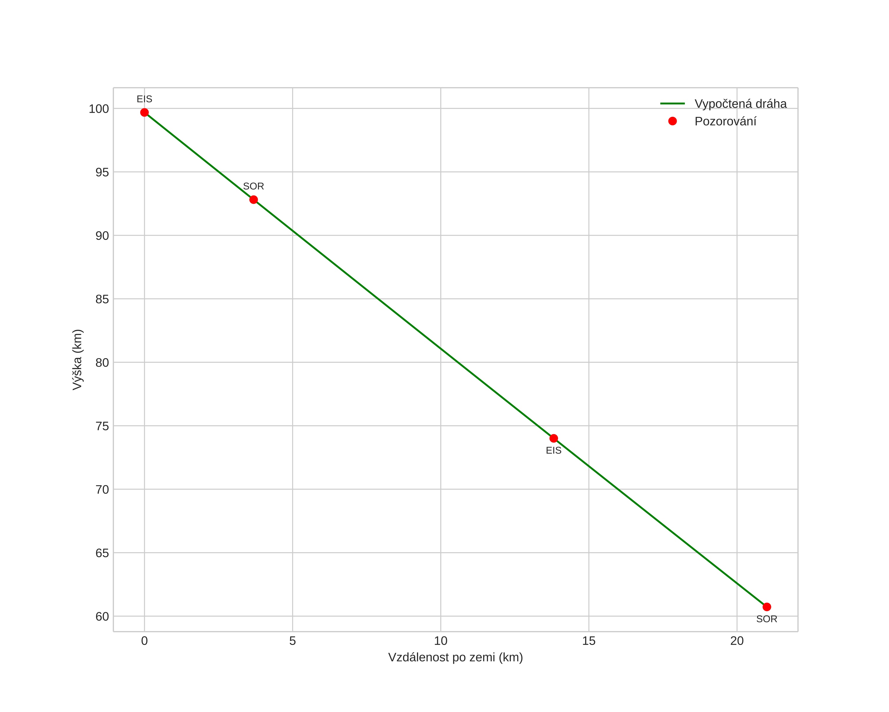
height profile
Atmosférická dráha meteoru:
Počáteční výška: 100,5 km
Konečná výška: 59,1 km
Počáteční poloha: 67,310N 11,088E
Konečná poloha: 67,516N 10,993E
Směr: 350,0°
Sklon: 60,6°
VstupnĂ­ rychlost: 32,9 km/s
Rektascenze radiantu: 08:23 (126,0°)
Deklinace radiantu: 37,3°
MeteorickĂ˝ roj: sporadickĂ˝
Elementy dráhy meteoroidu:
Vzdálenost v periheliu: 0,144 AU
Excentricita: 0,839
Sklon dráhy: 36,6°
Délka vzestupného uzlu: 262,5°
Argument perihelia: 330,6°
Střední anomálie: 310,9°
Epocha: 2023 DEC 15 01:43:56
orbit plot

NeinteraktivnĂ­ graf | InteraktivnĂ­ graf

position vs time
speed and acceleration