🇳🇴 🇬🇧 🇩🇪 🇨🇿 🇫🇮

Meteor Moenin yllä 2023-12-15 02:27:37 UTC

KML-tiedosto  |  Interaktiivinen kartta

Kartta näyttää meteorin suuntahavainnot. Vaaleammat viivat näyttävät suunnat havaintoasemilta meteorin ilmestyessä, ja tummemmat viivat näyttävät, missä se viimeksi nähtiin. Sininen nuoli näyttää meteorin näkyvän lennon.

static map
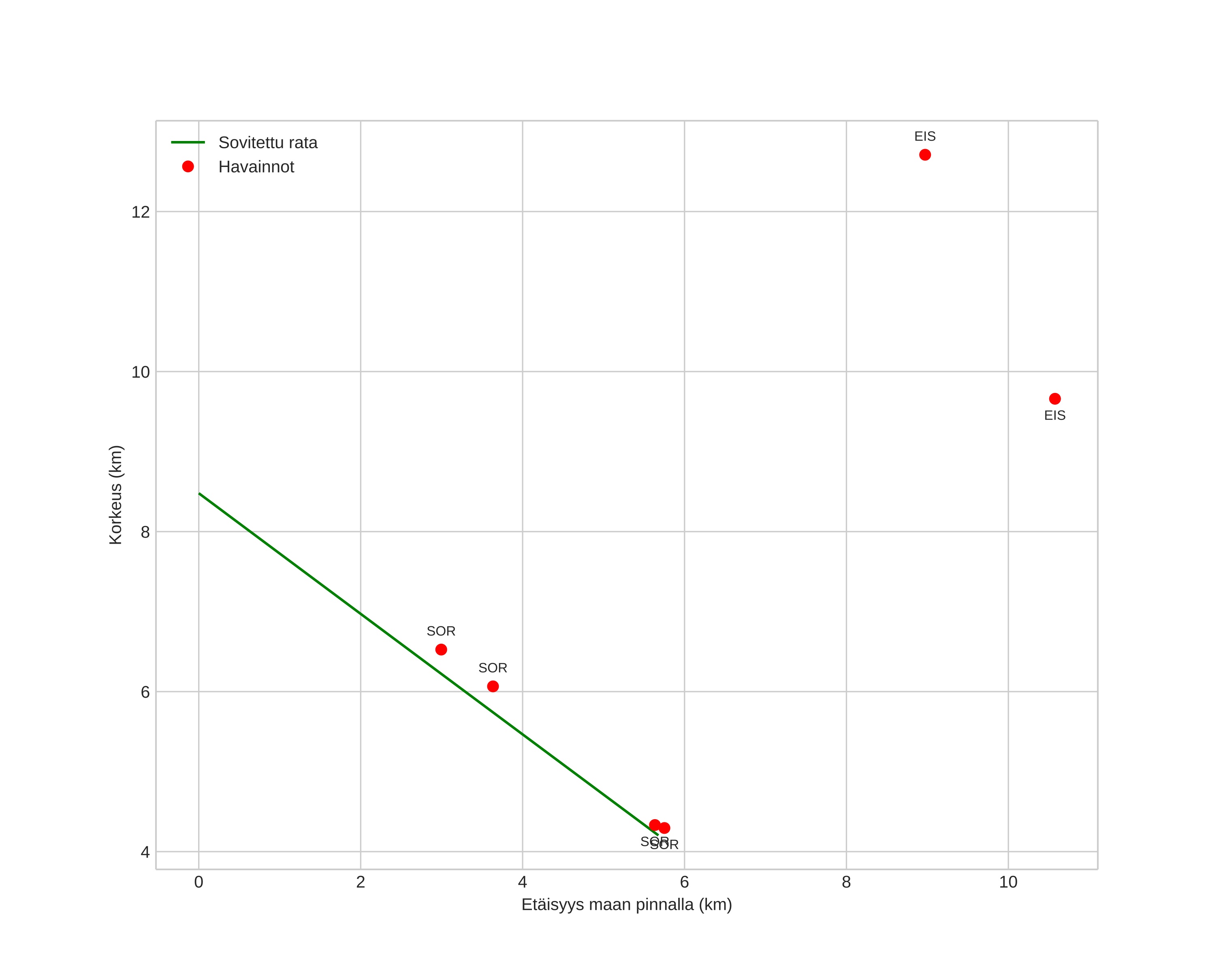
height profile
Meteorin ilmakehärata:
Alkukorkeus: 9,1 km
Loppukorkeus: 4,2 km
Alkupiste: 69,267N 18,645E
Loppupiste: 69,316N 18,728E
Suunta: 30,9°
Kallistuskulma: 37,6°
Tulonopeus: 8,3 km/s
position vs time
speed and acceleration