🇳🇴 🇬🇧 🇩🇪 🇨🇿 🇫🇮

Meteor Lyngseidetin yllä 2023-12-15 02:36:42 UTC

KML-tiedosto  |  Interaktiivinen kartta

Kartta näyttää meteorin suuntahavainnot. Vaaleammat viivat näyttävät suunnat havaintoasemilta meteorin ilmestyessä, ja tummemmat viivat näyttävät, missä se viimeksi nähtiin. Sininen nuoli näyttää meteorin näkyvän lennon.

static map
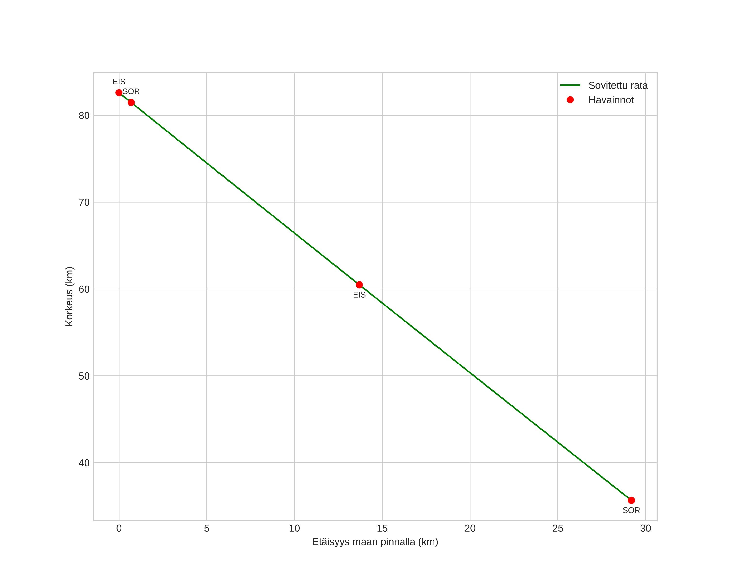
height profile
Meteorin ilmakehärata:
Alkukorkeus: 79,7 km
Loppukorkeus: 16,0 km
Alkupiste: 70,982N 22,619E
Loppupiste: 69,976N 20,062E
Suunta: 221,5°
Kallistuskulma: 23,5°
Tulonopeus: 120,7 km/s
Radiantin R,A,: 18:22 (275,6°)
Radiantin Dekl,: 36,7°
Meteoriparvi: Sporadinen
Meteoroidin rataelementit:
Perihelietäisyys: 0,873 AU
Eksentrisyys: 15,316
Inklinaatio: 65,6°
Nousevan solmun pituus: 262,5°
Perihelin argumentti: 151,6°
Keskianomalia: 412,3°
Epookki: 2023 DEC 15 02:36:42
orbit plot

Ei-interaktiivinen kuvaaja | Interaktiivinen kuvaaja

position vs time
speed and acceleration