🇳🇴 🇬🇧 🇩🇪 🇨🇿 🇫🇮

Meteor, poloha: Tromsø 2023-12-15 02:41:21 UTC

Soubor KML  |  InteraktivnĂ­ mapa

Mapa zobrazuje dráhy meteoru. Světlejší čáry ukazují směry od pozorovacích stanic při objevení se meteoru a tmavší čáry, kde byl naposledy viděn. Modrá šipka značí viditelnou dráhu meteoru.

static map
height profile
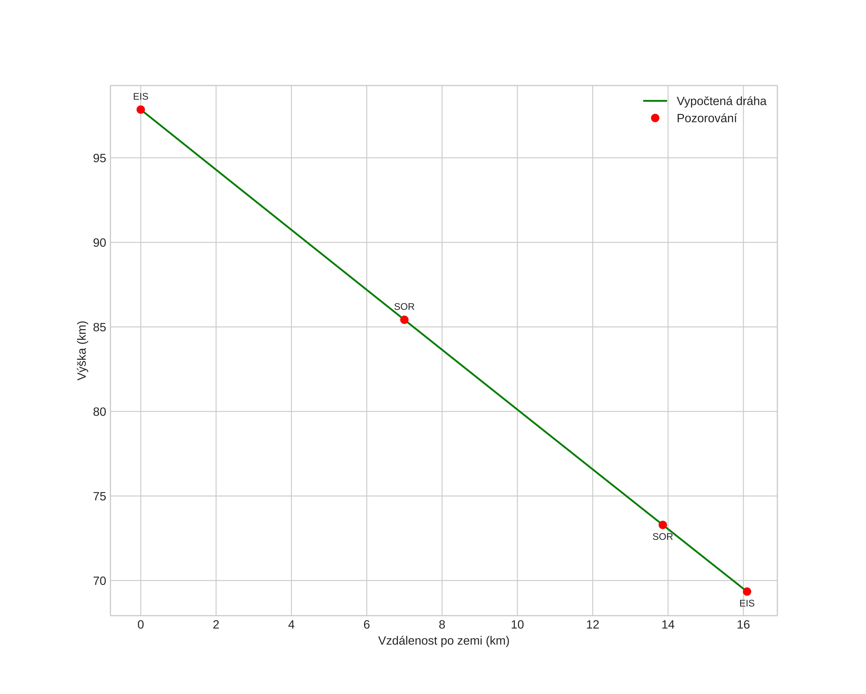
Atmosférická dráha meteoru:
Počáteční výška: 97,3 km
Konečná výška: 70,0 km
Počáteční poloha: 71,156N 18,124E
Konečná poloha: 71,254N 18,500E
Směr: 50,7°
Sklon: 57,6°
VstupnĂ­ rychlost: 35,8 km/s
Rektascenze radiantu: 07:03 (105,9°)
Deklinace radiantu: 42,6°
MeteorickĂ˝ roj: sporadickĂ˝
Elementy dráhy meteoroidu:
Vzdálenost v periheliu: 0,297 AU
Excentricita: 0,875
Sklon dráhy: 30,9°
Délka vzestupného uzlu: 262,5°
Argument perihelia: 299,8°
Střední anomálie: 349,2°
Epocha: 2023 DEC 15 02:41:21
orbit plot

NeinteraktivnĂ­ graf | InteraktivnĂ­ graf

position vs time
speed and acceleration