🇳🇴 🇬🇧 🇩🇪 🇨🇿 🇫🇮

Meteor, poloha: Andenes 2023-12-15 03:01:03 UTC

Soubor KML  |  InteraktivnĂ­ mapa

Mapa zobrazuje dráhy meteoru. Světlejší čáry ukazují směry od pozorovacích stanic při objevení se meteoru a tmavší čáry, kde byl naposledy viděn. Modrá šipka značí viditelnou dráhu meteoru.

static map
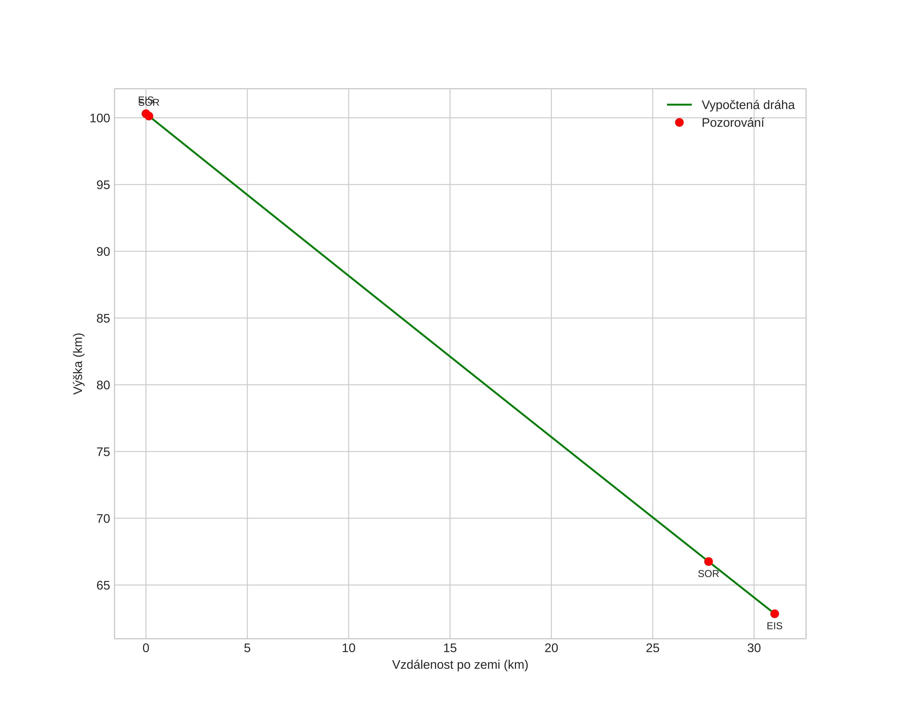
height profile
Atmosférická dráha meteoru:
Počáteční výška: 101,3 km
Konečná výška: 63,5 km
Počáteční poloha: 70,500N 15,483E
Konečná poloha: 70,710N 16,046E
Směr: 41,4°
Sklon: 50,4°
VstupnĂ­ rychlost: 35,9 km/s
Rektascenze radiantu: 07:29 (112,5°)
Deklinace radiantu: 33,5°
MeteorickĂ˝ roj: Geminidy
Elementy dráhy meteoroidu:
Vzdálenost v periheliu: 0,162 AU
Excentricita: 0,888
Sklon dráhy: 24,0°
Délka vzestupného uzlu: 262,5°
Argument perihelia: 320,8°
Střední anomálie: 338,8°
Epocha: 2023 DEC 15 03:01:03
orbit plot

NeinteraktivnĂ­ graf | InteraktivnĂ­ graf

position vs time
speed and acceleration