🇳🇴 🇬🇧 🇩🇪 🇨🇿 🇫🇮

Meteor, poloha: Andenes 2023-12-15 03:04:46 UTC

Soubor KML  |  InteraktivnĂ­ mapa

Mapa zobrazuje dráhy meteoru. Světlejší čáry ukazují směry od pozorovacích stanic při objevení se meteoru a tmavší čáry, kde byl naposledy viděn. Modrá šipka značí viditelnou dráhu meteoru.

static map
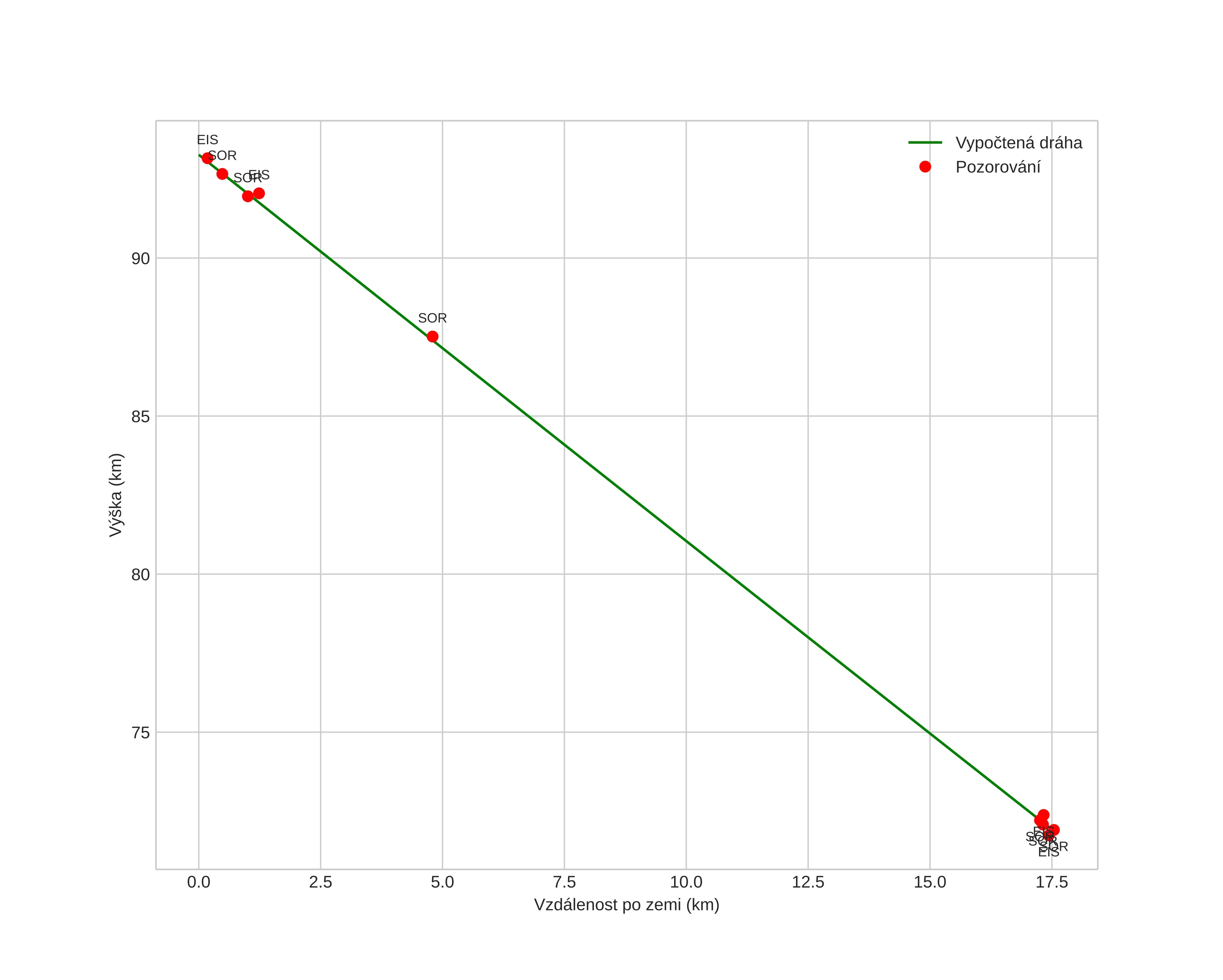
height profile
Atmosférická dráha meteoru:
Počáteční výška: 93,3 km
Konečná výška: 70,9 km
Počáteční poloha: 69,047N 16,004E
Konečná poloha: 69,167N 16,316E
Směr: 42,7°
Sklon: 50,9°
VstupnĂ­ rychlost: 37,7 km/s
Rektascenze radiantu: 07:34 (113,7°)
Deklinace radiantu: 33,0°
MeteorickĂ˝ roj: Geminidy
Elementy dráhy meteoroidu:
Vzdálenost v periheliu: 0,138 AU
Excentricita: 0,912
Sklon dráhy: 26,7°
Délka vzestupného uzlu: 262,5°
Argument perihelia: 323,3°
Střední anomálie: 341,8°
Epocha: 2023 DEC 15 03:04:46
orbit plot

NeinteraktivnĂ­ graf | InteraktivnĂ­ graf

position vs time
speed and acceleration