🇳🇴 🇬🇧 🇩🇪 🇨🇿 🇫🇮

Meteor, poloha: Breivikbotn 2023-12-15 03:19:23 UTC

Soubor KML  |  InteraktivnĂ­ mapa

Mapa zobrazuje dráhy meteoru. Světlejší čáry ukazují směry od pozorovacích stanic při objevení se meteoru a tmavší čáry, kde byl naposledy viděn. Modrá šipka značí viditelnou dráhu meteoru.

static map
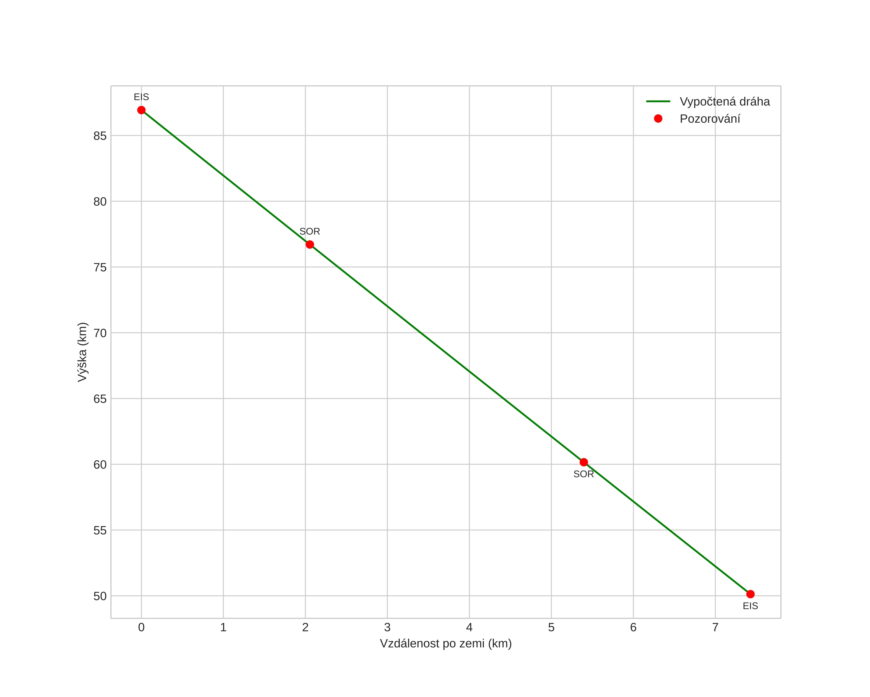
height profile
Atmosférická dráha meteoru:
Počáteční výška: 89,7 km
Konečná výška: 61,8 km
Počáteční poloha: 70,421N 21,855E
Konečná poloha: 70,615N 22,573E
Směr: 50,6°
Sklon: 39,1°
VstupnĂ­ rychlost: 32,3 km/s
Rektascenze radiantu: 07:30 (112,5°)
Deklinace radiantu: 23,7°
MeteorickĂ˝ roj: Geminidy
Elementy dráhy meteoroidu:
Vzdálenost v periheliu: 0,151 AU
Excentricita: 0,862
Sklon dráhy: 3,6°
Délka vzestupného uzlu: 262,5°
Argument perihelia: 326,1°
Střední anomálie: 325,5°
Epocha: 2023 DEC 15 03:19:23
orbit plot

NeinteraktivnĂ­ graf | InteraktivnĂ­ graf

position vs time
speed and acceleration