🇳🇴 🇬🇧 🇩🇪 🇨🇿 🇫🇮

Meteor, poloha: Enontekiö 2023-12-15 03:22:05 UTC

Soubor KML  |  InteraktivnĂ­ mapa

Mapa zobrazuje dráhy meteoru. Světlejší čáry ukazují směry od pozorovacích stanic při objevení se meteoru a tmavší čáry, kde byl naposledy viděn. Modrá šipka značí viditelnou dráhu meteoru.

static map
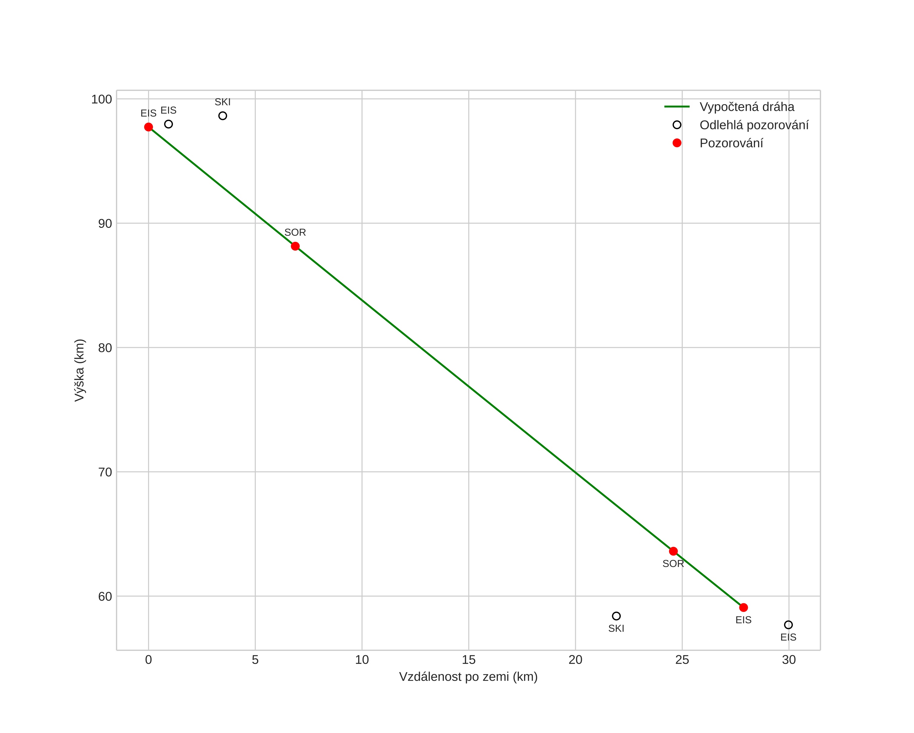
height profile
Atmosférická dráha meteoru:
Počáteční výška: 96,2 km
Konečná výška: 60,0 km
Počáteční poloha: 68,703N 23,309E
Konečná poloha: 68,876N 23,814E
Směr: 46,2°
Sklon: 52,3°
VstupnĂ­ rychlost: 39,4 km/s
Rektascenze radiantu: 08:13 (123,5°)
Deklinace radiantu: 34,8°
MeteorickĂ˝ roj: Geminidy
Elementy dráhy meteoroidu:
Vzdálenost v periheliu: 0,098 AU
Excentricita: 0,920
Sklon dráhy: 46,4°
Délka vzestupného uzlu: 262,5°
Argument perihelia: 331,5°
Střední anomálie: 333,7°
Epocha: 2023 DEC 15 03:22:05
orbit plot

NeinteraktivnĂ­ graf | InteraktivnĂ­ graf

position vs time
speed and acceleration