🇳🇴 🇬🇧 🇩🇪 🇨🇿 🇫🇮

Meteor Jokkmokkin yllä 2023-12-15 04:15:39 UTC

KML-tiedosto  |  Interaktiivinen kartta

Kartta näyttää meteorin suuntahavainnot. Vaaleammat viivat näyttävät suunnat havaintoasemilta meteorin ilmestyessä, ja tummemmat viivat näyttävät, missä se viimeksi nähtiin. Sininen nuoli näyttää meteorin näkyvän lennon.

static map
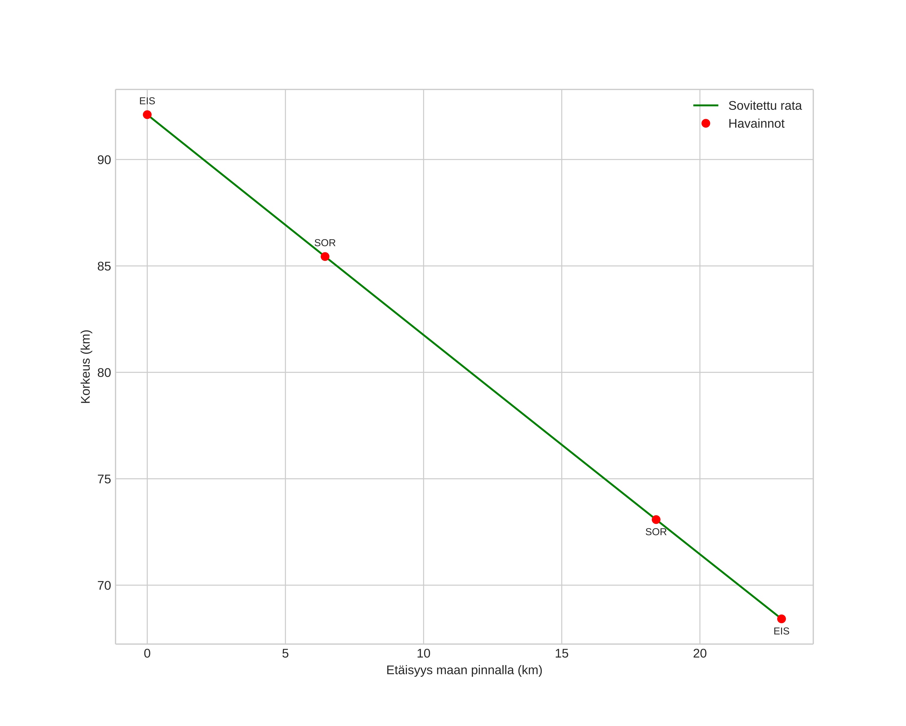
height profile
Meteorin ilmakehärata:
Alkukorkeus: 95,3 km
Loppukorkeus: 72,2 km
Alkupiste: 67,446N 18,371E
Loppupiste: 67,531N 18,856E
Suunta: 65,2°
Kallistuskulma: 45,5°
Tulonopeus: 35,4 km/s
Radiantin R,A,: 07:41 (115,3°)
Radiantin Dekl,: 31,8°
Meteoriparvi: Geminidit
Meteoroidin rataelementit:
Perihelietäisyys: 0,137 AU
Eksentrisyys: 0,890
Inklinaatio: 23,0°
Nousevan solmun pituus: 262,6°
Perihelin argumentti: 326,0°
Keskianomalia: 333,0°
Epookki: 2023 DEC 15 04:15:39
orbit plot

Ei-interaktiivinen kuvaaja | Interaktiivinen kuvaaja

position vs time
speed and acceleration