🇳🇴 🇬🇧 🇩🇪 🇨🇿 🇫🇮

Meteor, poloha: Jokkmokk 2023-12-15 04:26:39 UTC

Soubor KML  |  InteraktivnĂ­ mapa

Mapa zobrazuje dráhy meteoru. Světlejší čáry ukazují směry od pozorovacích stanic při objevení se meteoru a tmavší čáry, kde byl naposledy viděn. Modrá šipka značí viditelnou dráhu meteoru.

static map
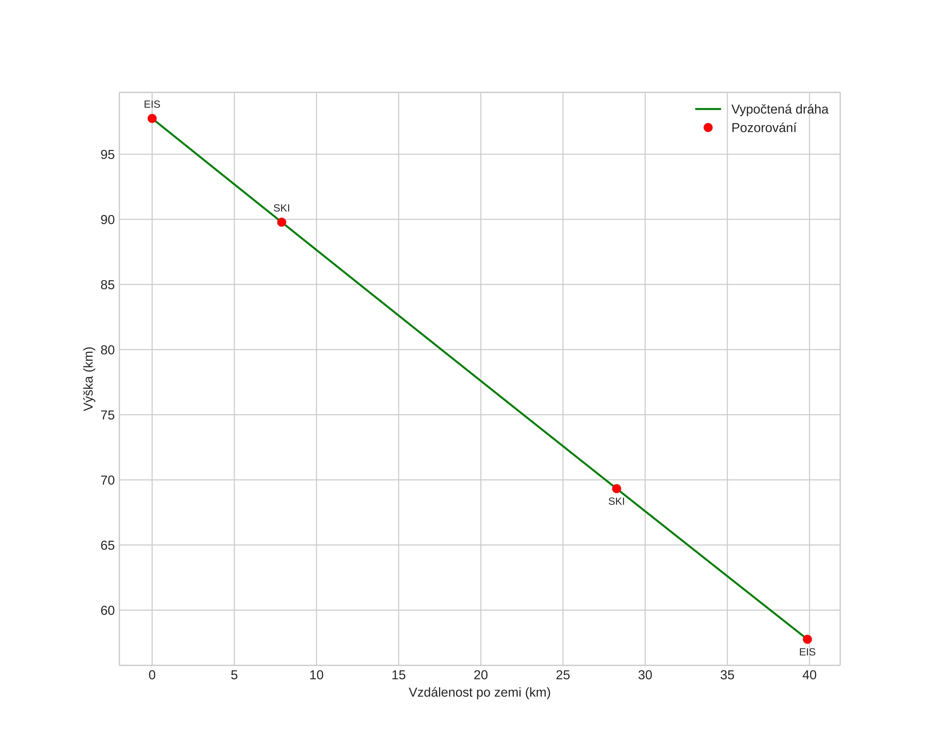
height profile
Atmosférická dráha meteoru:
Počáteční výška: 97,6 km
Konečná výška: 57,5 km
Počáteční poloha: 66,793N 18,457E
Konečná poloha: 66,991N 19,297E
Směr: 58,7°
Sklon: 43,2°
VstupnĂ­ rychlost: 39,7 km/s
Rektascenze radiantu: 08:09 (122,4°)
Deklinace radiantu: 27,6°
MeteorickĂ˝ roj: Geminidy
Elementy dráhy meteoroidu:
Vzdálenost v periheliu: 0,049 AU
Excentricita: 0,958
Sklon dráhy: 31,7°
Délka vzestupného uzlu: 262,6°
Argument perihelia: 340,5°
Střední anomálie: 333,4°
Epocha: 2023 DEC 15 04:26:39
orbit plot

NeinteraktivnĂ­ graf | InteraktivnĂ­ graf

position vs time
speed and acceleration