🇳🇴 🇬🇧 🇩🇪 🇨🇿 🇫🇮

Meteor, poloha: Ramberg 2023-12-15 04:28:26 UTC

Soubor KML  |  InteraktivnĂ­ mapa

Mapa zobrazuje dráhy meteoru. Světlejší čáry ukazují směry od pozorovacích stanic při objevení se meteoru a tmavší čáry, kde byl naposledy viděn. Modrá šipka značí viditelnou dráhu meteoru.

static map
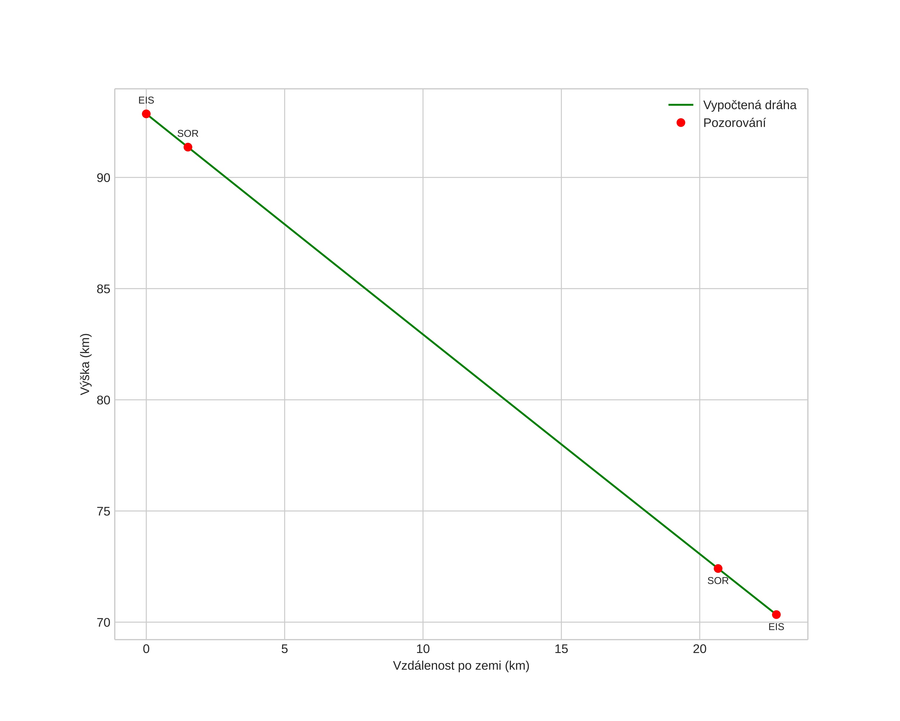
height profile
Atmosférická dráha meteoru:
Počáteční výška: 94,6 km
Konečná výška: 71,4 km
Počáteční poloha: 68,740N 11,967E
Konečná poloha: 68,833N 12,497E
Směr: 63,8°
Sklon: 44,4°
VstupnĂ­ rychlost: 36,6 km/s
Rektascenze radiantu: 07:28 (112,1°)
Deklinace radiantu: 31,3°
MeteorickĂ˝ roj: Geminidy
Elementy dráhy meteoroidu:
Vzdálenost v periheliu: 0,146 AU
Excentricita: 0,904
Sklon dráhy: 20,8°
Délka vzestupného uzlu: 262,6°
Argument perihelia: 322,5°
Střední anomálie: 340,8°
Epocha: 2023 DEC 15 04:28:26
orbit plot

NeinteraktivnĂ­ graf | InteraktivnĂ­ graf

position vs time
speed and acceleration