🇳🇴 🇬🇧 🇩🇪 🇨🇿 🇫🇮

Meteor, poloha: Myre 2023-12-15 04:45:38 UTC

Soubor KML  |  InteraktivnĂ­ mapa

Mapa zobrazuje dráhy meteoru. Světlejší čáry ukazují směry od pozorovacích stanic při objevení se meteoru a tmavší čáry, kde byl naposledy viděn. Modrá šipka značí viditelnou dráhu meteoru.

static map
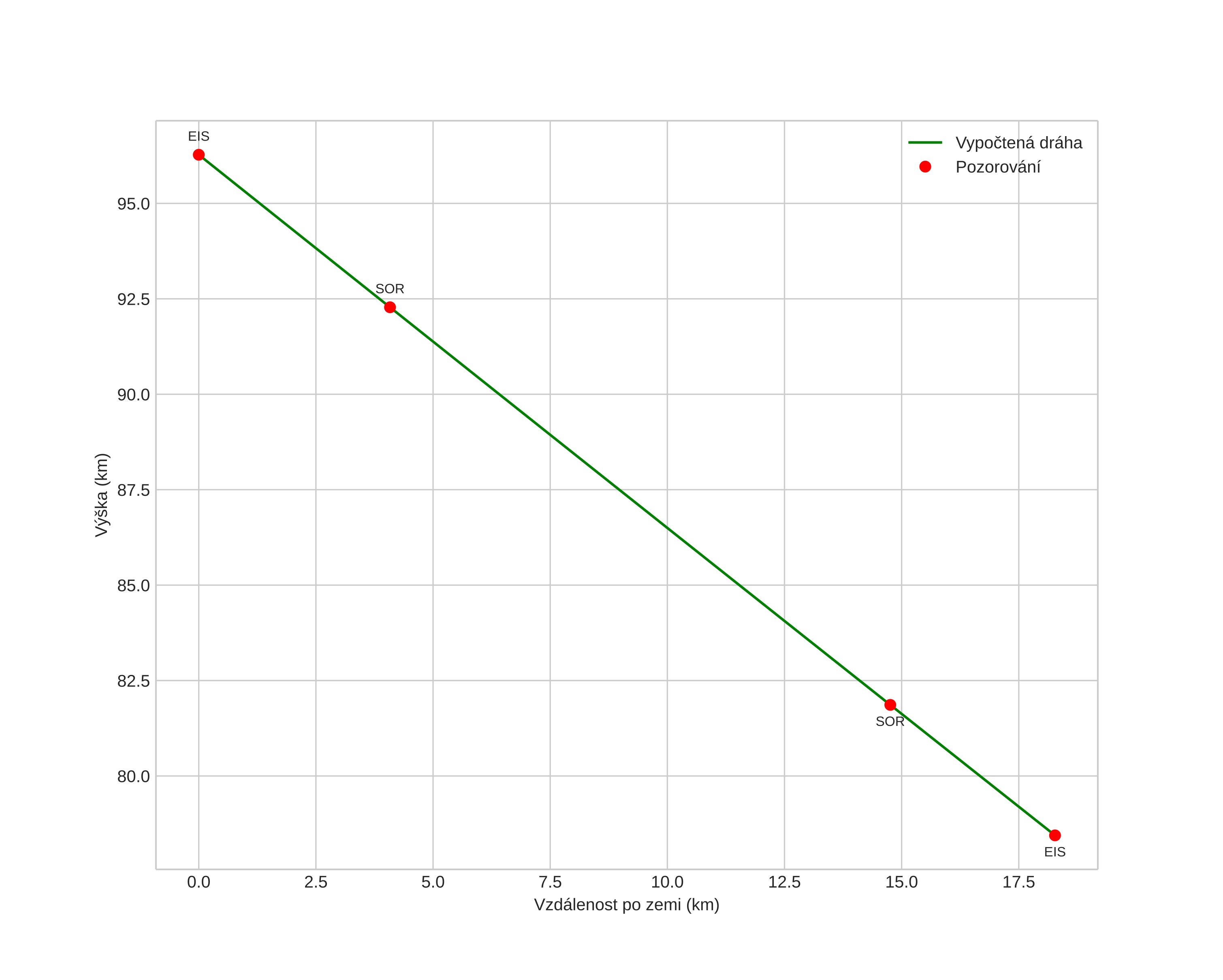
height profile
Atmosférická dráha meteoru:
Počáteční výška: 96,9 km
Konečná výška: 79,1 km
Počáteční poloha: 69,808N 14,011E
Konečná poloha: 69,871N 14,449E
Směr: 67,2°
Sklon: 44,4°
VstupnĂ­ rychlost: 34,6 km/s
Rektascenze radiantu: 07:40 (115,1°)
Deklinace radiantu: 32,8°
MeteorickĂ˝ roj: Geminidy
Elementy dráhy meteoroidu:
Vzdálenost v periheliu: 0,151 AU
Excentricita: 0,875
Sklon dráhy: 23,4°
Délka vzestupného uzlu: 262,6°
Argument perihelia: 324,5°
Střední anomálie: 331,2°
Epocha: 2023 DEC 15 04:45:38
orbit plot

NeinteraktivnĂ­ graf | InteraktivnĂ­ graf

position vs time
speed and acceleration