🇳🇴 🇬🇧 🇩🇪 🇨🇿 🇫🇮

Meteor, poloha: Andenes 2023-12-15 05:34:05 UTC

Soubor KML  |  InteraktivnĂ­ mapa

Mapa zobrazuje dráhy meteoru. Světlejší čáry ukazují směry od pozorovacích stanic při objevení se meteoru a tmavší čáry, kde byl naposledy viděn. Modrá šipka značí viditelnou dráhu meteoru.

static map
height profile
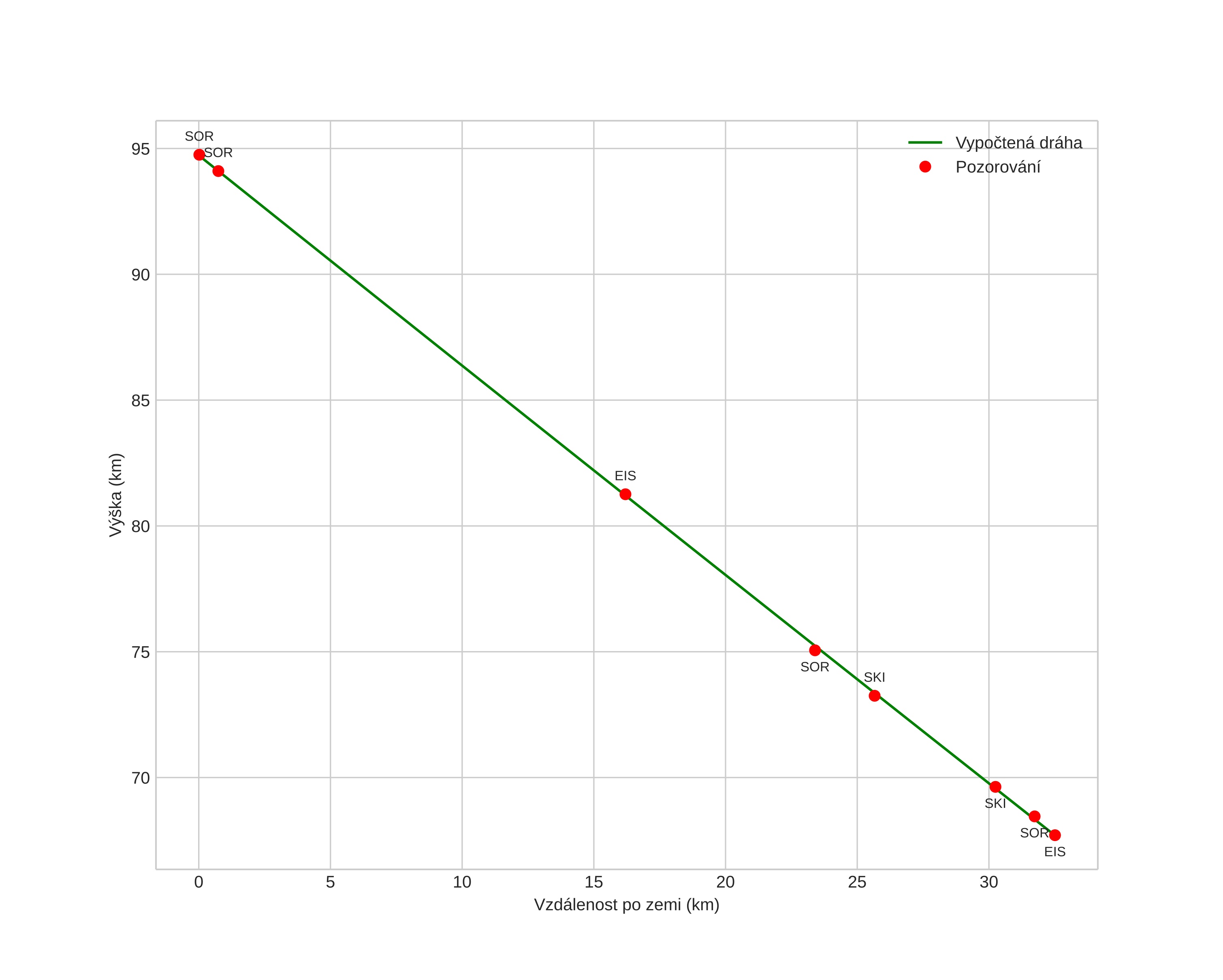
Atmosférická dráha meteoru:
Počáteční výška: 94,9 km
Konečná výška: 69,0 km
Počáteční poloha: 69,763N 15,553E
Konečná poloha: 69,806N 16,362E
Směr: 80,9°
Sklon: 39,5°
VstupnĂ­ rychlost: 36,5 km/s
Rektascenze radiantu: 07:41 (115,3°)
Deklinace radiantu: 32,4°
MeteorickĂ˝ roj: Geminidy
Elementy dráhy meteoroidu:
Vzdálenost v periheliu: 0,133 AU
Excentricita: 0,901
Sklon dráhy: 25,5°
Délka vzestupného uzlu: 262,6°
Argument perihelia: 325,6°
Střední anomálie: 336,5°
Epocha: 2023 DEC 15 05:34:05
orbit plot

NeinteraktivnĂ­ graf | InteraktivnĂ­ graf

position vs time
speed and acceleration