🇳🇴 🇬🇧 🇩🇪 🇨🇿 🇫🇮

Meteor, poloha: Olderdalen 2023-12-15 05:40:33 UTC

Soubor KML  |  InteraktivnĂ­ mapa

Mapa zobrazuje dráhy meteoru. Světlejší čáry ukazují směry od pozorovacích stanic při objevení se meteoru a tmavší čáry, kde byl naposledy viděn. Modrá šipka značí viditelnou dráhu meteoru.

static map
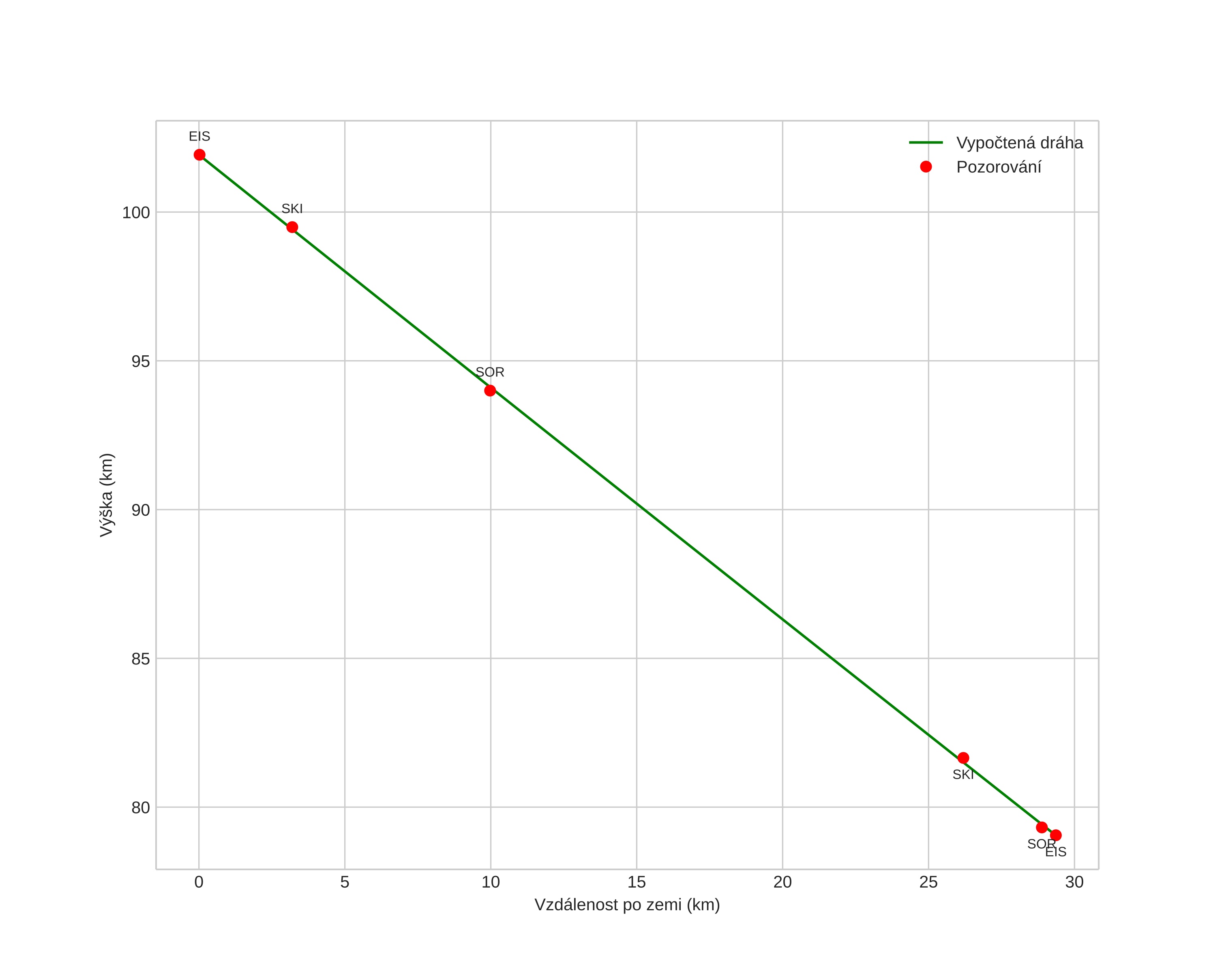
height profile
Atmosférická dráha meteoru:
Počáteční výška: 101,0 km
Konečná výška: 79,1 km
Počáteční poloha: 69,507N 19,843E
Konečná poloha: 69,514N 20,555E
Směr: 88,2°
Sklon: 38,3°
VstupnĂ­ rychlost: 35,7 km/s
Rektascenze radiantu: 07:38 (114,5°)
Deklinace radiantu: 33,5°
MeteorickĂ˝ roj: Geminidy
Elementy dráhy meteoroidu:
Vzdálenost v periheliu: 0,151 AU
Excentricita: 0,887
Sklon dráhy: 25,6°
Délka vzestupného uzlu: 262,6°
Argument perihelia: 323,2°
Střední anomálie: 335,9°
Epocha: 2023 DEC 15 05:40:33
orbit plot

NeinteraktivnĂ­ graf | InteraktivnĂ­ graf

position vs time
speed and acceleration