🇳🇴 🇬🇧 🇩🇪 🇨🇿 🇫🇮

Meteor, poloha: Storslett 2023-12-15 06:16:24 UTC

Soubor KML  |  InteraktivnĂ­ mapa

Mapa zobrazuje dráhy meteoru. Světlejší čáry ukazují směry od pozorovacích stanic při objevení se meteoru a tmavší čáry, kde byl naposledy viděn. Modrá šipka značí viditelnou dráhu meteoru.

static map
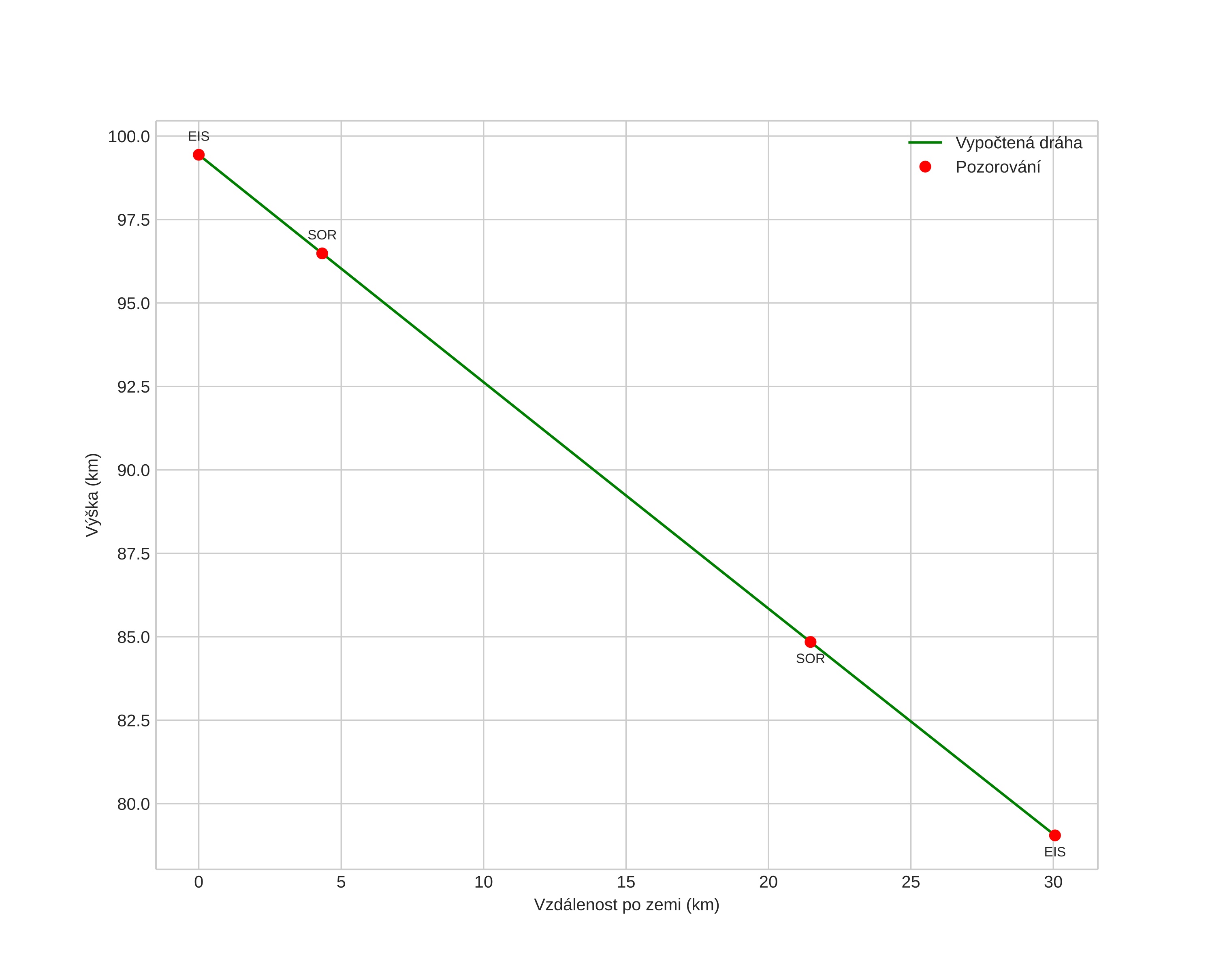
height profile
Atmosférická dráha meteoru:
Počáteční výška: 99,6 km
Konečná výška: 83,3 km
Počáteční poloha: 69,539N 20,436E
Konečná poloha: 69,511N 21,029E
Směr: 97,2°
Sklon: 35,0°
VstupnĂ­ rychlost: 38,7 km/s
Rektascenze radiantu: 07:37 (114,4°)
Deklinace radiantu: 33,7°
MeteorickĂ˝ roj: Geminidy
Elementy dráhy meteoroidu:
Vzdálenost v periheliu: 0,134 AU
Excentricita: 0,921
Sklon dráhy: 30,3°
Délka vzestupného uzlu: 262,7°
Argument perihelia: 323,3°
Střední anomálie: 344,1°
Epocha: 2023 DEC 15 06:16:24
orbit plot

NeinteraktivnĂ­ graf | InteraktivnĂ­ graf

position vs time
speed and acceleration