🇳🇴 🇬🇧 🇩🇪 🇨🇿 🇫🇮

Meteor Kirunan yllä 2023-12-15 06:29:35 UTC

KML-tiedosto  |  Interaktiivinen kartta

Kartta näyttää meteorin suuntahavainnot. Vaaleammat viivat näyttävät suunnat havaintoasemilta meteorin ilmestyessä, ja tummemmat viivat näyttävät, missä se viimeksi nähtiin. Sininen nuoli näyttää meteorin näkyvän lennon.

static map
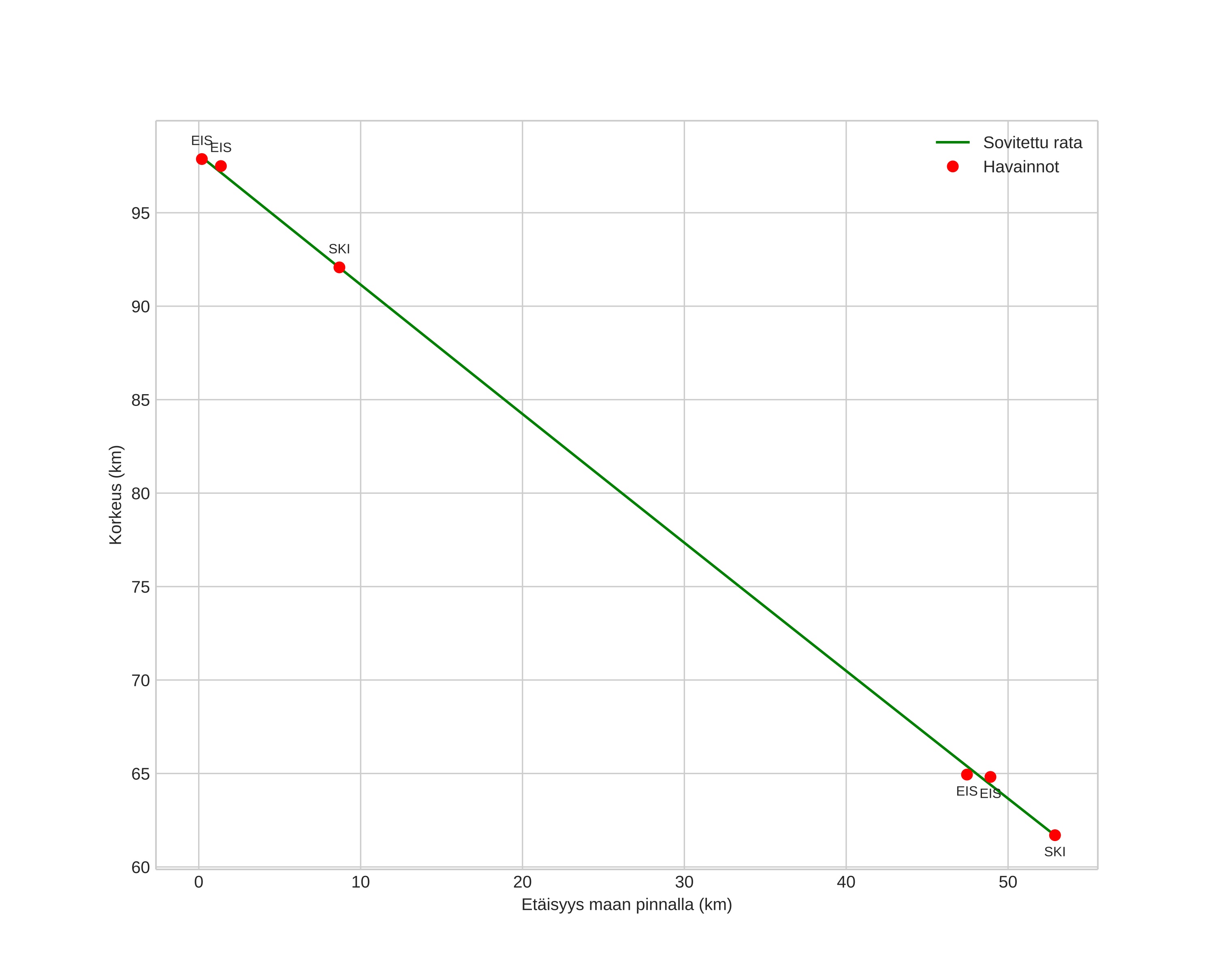
height profile
Meteorin ilmakehärata:
Alkukorkeus: 100,0 km
Loppukorkeus: 63,6 km
Alkupiste: 68,184N 18,066E
Loppupiste: 68,141N 19,342E
Suunta: 94,6°
Kallistuskulma: 34,5°
Tulonopeus: 36,1 km/s
Radiantin R,A,: 07:52 (118,2°)
Radiantin Dekl,: 32,0°
Meteoriparvi: Geminidit
Meteoroidin rataelementit:
Perihelietäisyys: 0,115 AU
Eksentrisyys: 0,902
Inklinaatio: 27,3°
Nousevan solmun pituus: 262,7°
Perihelin argumentti: 329,5°
Keskianomalia: 331,3°
Epookki: 2023 DEC 15 06:29:35
orbit plot

Ei-interaktiivinen kuvaaja | Interaktiivinen kuvaaja

position vs time
speed and acceleration