🇳🇴 🇬🇧 🇩🇪 🇨🇿 🇫🇮

Meteor, poloha: Kiruna 2023-12-17 18:38:19 UTC

Soubor KML  |  InteraktivnĂ­ mapa

Mapa zobrazuje dráhy meteoru. Světlejší čáry ukazují směry od pozorovacích stanic při objevení se meteoru a tmavší čáry, kde byl naposledy viděn. Modrá šipka značí viditelnou dráhu meteoru.

static map
height profile
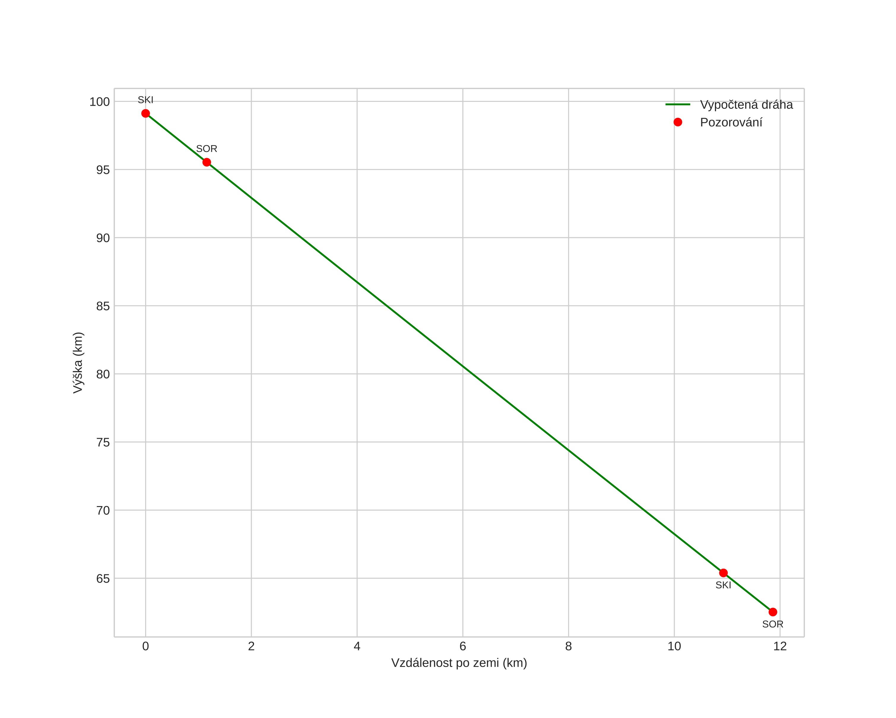
Atmosférická dráha meteoru:
Počáteční výška: 99,1 km
Konečná výška: 62,5 km
Počáteční poloha: 67,776N 20,650E
Konečná poloha: 67,759N 20,372E
Směr: 260,8°
Sklon: 72,0°
VstupnĂ­ rychlost: 28,6 km/s
Rektascenze radiantu: 04:41 (70,4°)
Deklinace radiantu: 63,8°
MeteorickĂ˝ roj: sporadickĂ˝
Elementy dráhy meteoroidu:
Vzdálenost v periheliu: 0,757 AU
Excentricita: 0,957
Sklon dráhy: 28,0°
Délka vzestupného uzlu: 265,2°
Argument perihelia: 238,1°
Střední anomálie: 359,5°
Epocha: 2023 DEC 17 18:38:19
orbit plot

NeinteraktivnĂ­ graf | InteraktivnĂ­ graf

position vs time
speed and acceleration