🇳🇴 🇬🇧 🇩🇪 🇨🇿 🇫🇮

Meteor, poloha: Vikersund 2023-12-22 23:46:06 UTC

Soubor KML  |  InteraktivnĂ­ mapa

Mapa zobrazuje dráhy meteoru. Světlejší čáry ukazují směry od pozorovacích stanic při objevení se meteoru a tmavší čáry, kde byl naposledy viděn. Modrá šipka značí viditelnou dráhu meteoru.

static map
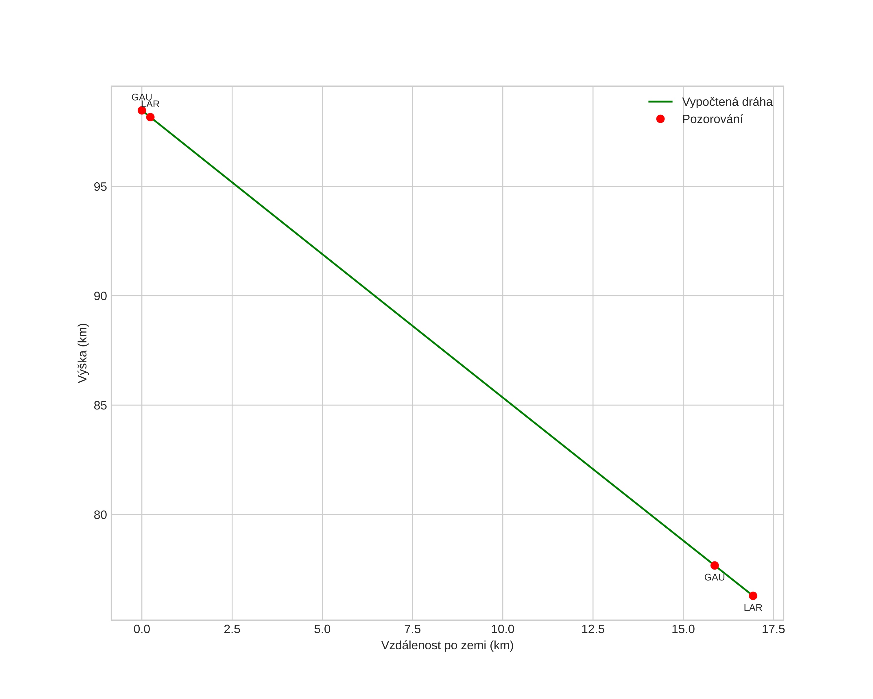
height profile
Atmosférická dráha meteoru:
Počáteční výška: 98,5 km
Konečná výška: 77,1 km
Počáteční poloha: 60,106N 10,041E
Konečná poloha: 59,968N 9,956E
Směr: 197,1°
Sklon: 53,0°
VstupnĂ­ rychlost: 34,1 km/s
Rektascenze radiantu: 14:46 (221,6°)
Deklinace radiantu: 78,0°
MeteorickĂ˝ roj: Ursidy
Elementy dráhy meteoroidu:
Vzdálenost v periheliu: 0,936 AU
Excentricita: 0,842
Sklon dráhy: 50,4°
Délka vzestupného uzlu: 270,5°
Argument perihelia: 206,7°
Střední anomálie: 358,7°
Epocha: 2023 DEC 22 23:46:06
orbit plot

NeinteraktivnĂ­ graf | InteraktivnĂ­ graf

position vs time
speed and acceleration