🇳🇴 🇬🇧 🇩🇪 🇨🇿 🇫🇮

Meteor, poloha: Skien 2023-12-23 01:48:27 UTC

Soubor KML  |  InteraktivnĂ­ mapa

Mapa zobrazuje dráhy meteoru. Světlejší čáry ukazují směry od pozorovacích stanic při objevení se meteoru a tmavší čáry, kde byl naposledy viděn. Modrá šipka značí viditelnou dráhu meteoru.

static map
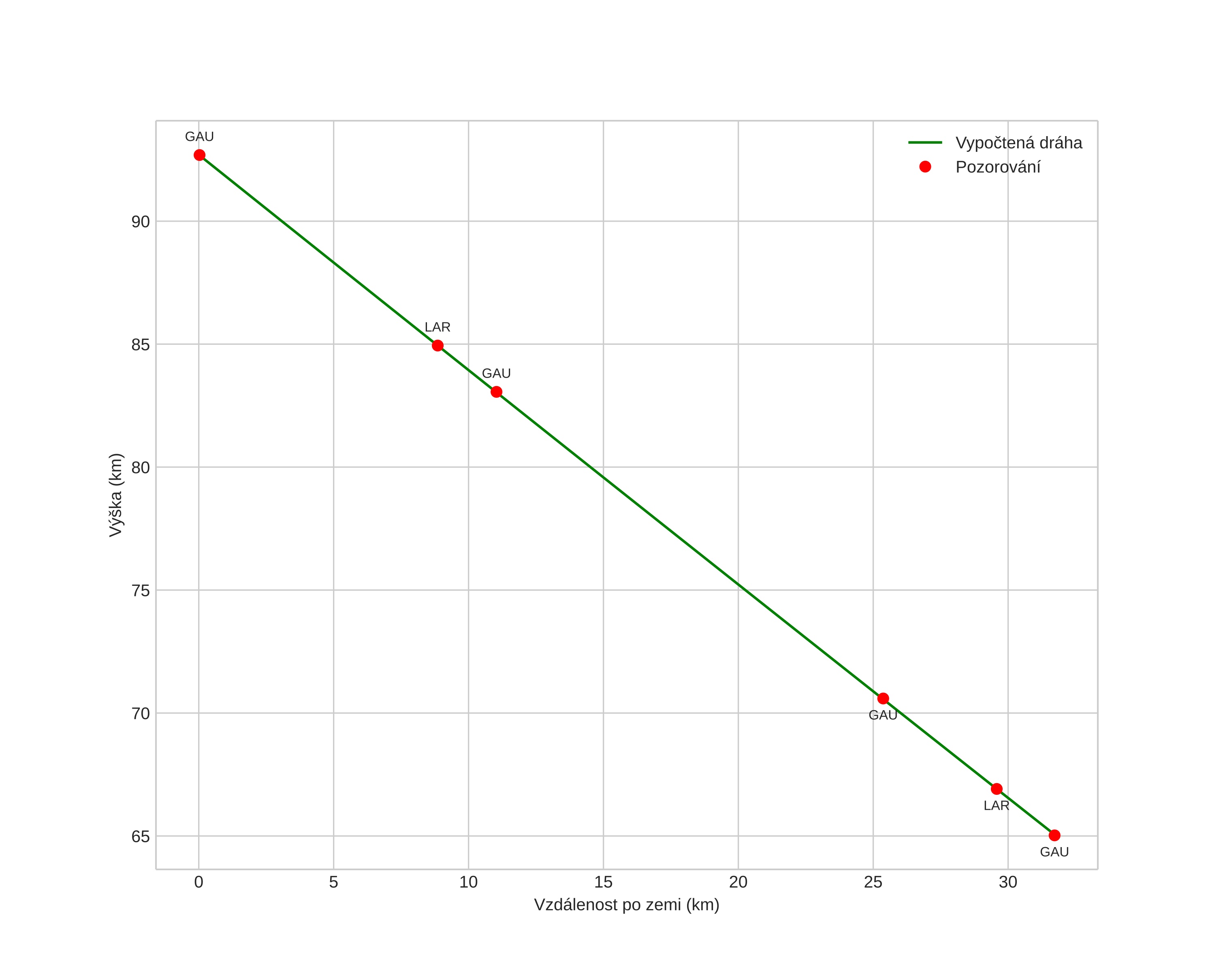
height profile
Atmosférická dráha meteoru:
Počáteční výška: 92,7 km
Konečná výška: 65,0 km
Počáteční poloha: 59,613N 9,477E
Konečná poloha: 59,327N 9,486E
Směr: 179,2°
Sklon: 41,1°
VstupnĂ­ rychlost: 20,1 km/s
Rektascenze radiantu: 20:45 (311,3°)
Deklinace radiantu: 66,7°
MeteorickĂ˝ roj: sporadickĂ˝
Elementy dráhy meteoroidu:
Vzdálenost v periheliu: 0,981 AU
Excentricita: 0,624
Sklon dráhy: 24,9°
Délka vzestupného uzlu: 270,6°
Argument perihelia: 186,4°
Střední anomálie: 358,9°
Epocha: 2023 DEC 23 01:48:27
orbit plot

NeinteraktivnĂ­ graf | InteraktivnĂ­ graf

position vs time
speed and acceleration