🇳🇴 🇬🇧 🇩🇪 🇨🇿 🇫🇮

Meteor, poloha: Hvide Sande 2023-12-23 06:00:59 UTC

Soubor KML  |  InteraktivnĂ­ mapa

Mapa zobrazuje dráhy meteoru. Světlejší čáry ukazují směry od pozorovacích stanic při objevení se meteoru a tmavší čáry, kde byl naposledy viděn. Modrá šipka značí viditelnou dráhu meteoru.

static map
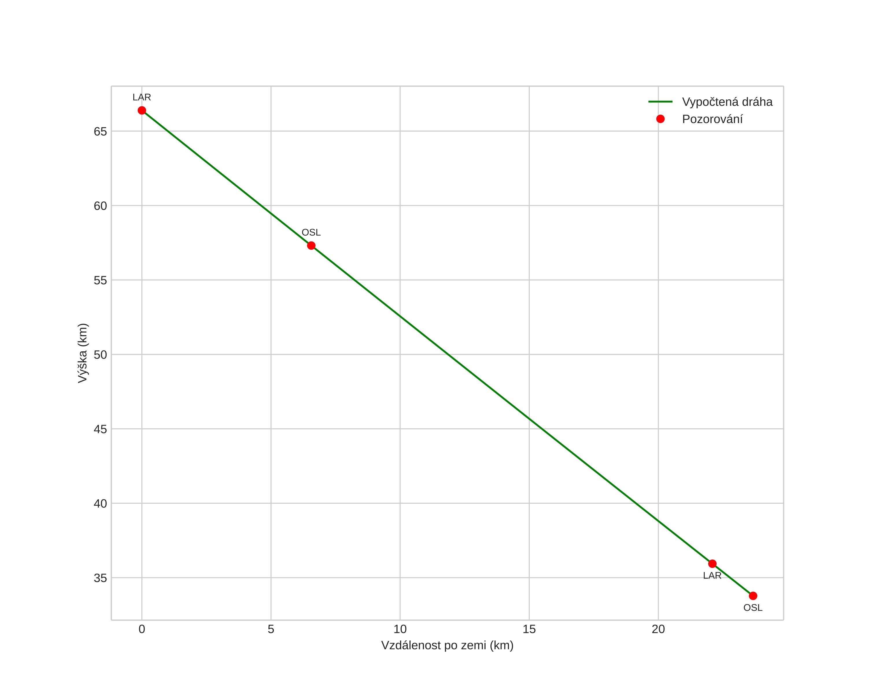
height profile
Atmosférická dráha meteoru:
Počáteční výška: 64,5 km
Konečná výška: 33,1 km
Počáteční poloha: 56,333N 6,816E
Konečná poloha: 56,386N 7,161E
Směr: 74,3°
Sklon: 54,9°
VstupnĂ­ rychlost: 19,3 km/s
Rektascenze radiantu: 09:24 (141,1°)
Deklinace radiantu: 33,4°
MeteorickĂ˝ roj: sporadickĂ˝
Elementy dráhy meteoroidu:
Vzdálenost v periheliu: 0,291 AU
Excentricita: 0,590
Sklon dráhy: 13,3°
Délka vzestupného uzlu: 270,8°
Argument perihelia: 333,8°
Střední anomálie: 254,9°
Epocha: 2023 DEC 23 06:00:59
orbit plot

NeinteraktivnĂ­ graf | InteraktivnĂ­ graf

position vs time
speed and acceleration