🇳🇴 🇬🇧 🇩🇪 🇨🇿 🇫🇮

Meteor, poloha: Notodden 2023-12-25 17:33:36 UTC

Soubor KML  |  InteraktivnĂ­ mapa

Mapa zobrazuje dráhy meteoru. Světlejší čáry ukazují směry od pozorovacích stanic při objevení se meteoru a tmavší čáry, kde byl naposledy viděn. Modrá šipka značí viditelnou dráhu meteoru.

static map
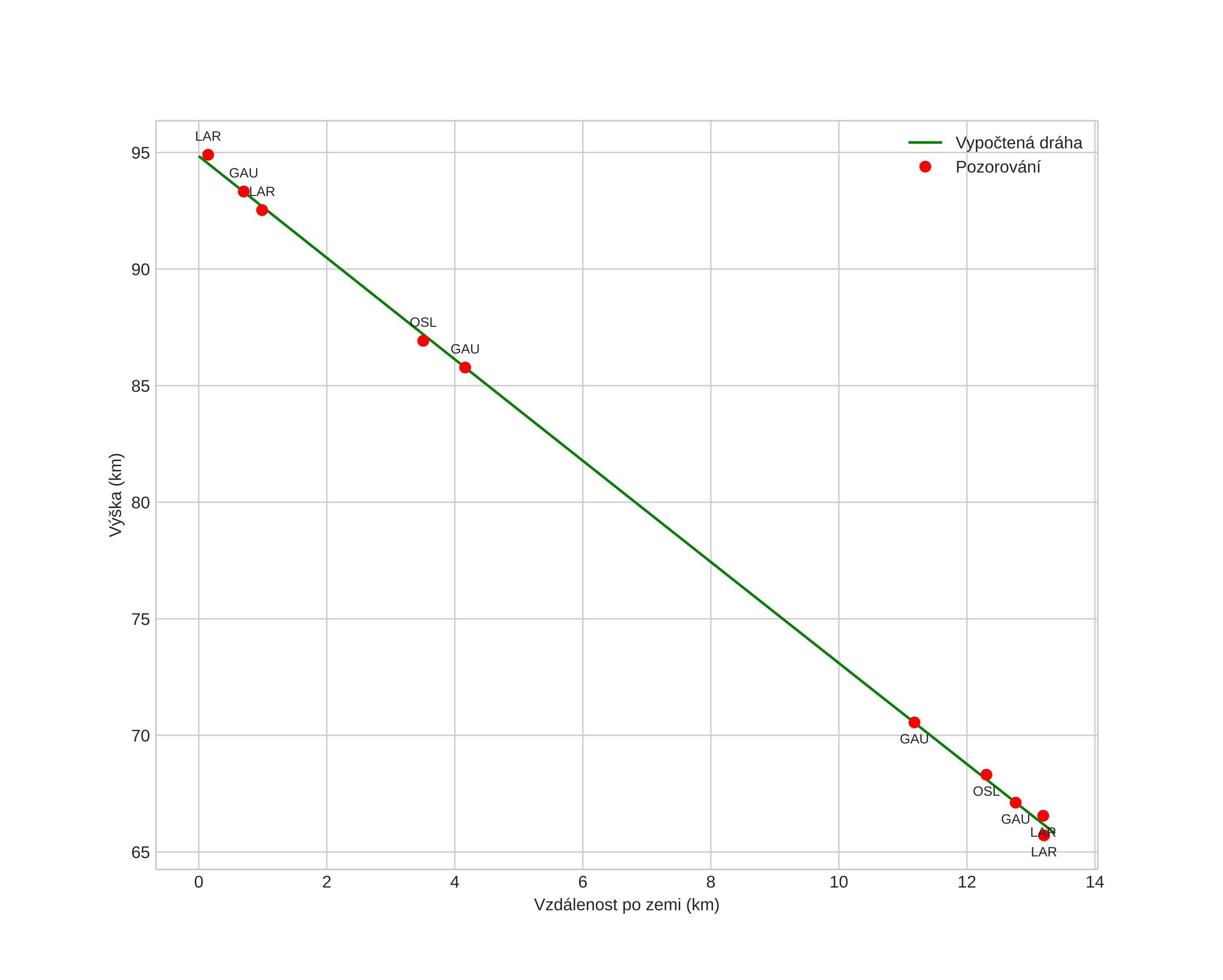
height profile
Atmosférická dráha meteoru:
Počáteční výška: 95,2 km
Konečná výška: 66,4 km
Počáteční poloha: 59,734N 9,160E
Konečná poloha: 59,691N 9,387E
Směr: 110,3°
Sklon: 64,8°
VstupnĂ­ rychlost: 19,2 km/s
Rektascenze radiantu: 20:42 (310,7°)
Deklinace radiantu: 57,0°
MeteorickĂ˝ roj: sporadickĂ˝
Elementy dráhy meteoroidu:
Vzdálenost v periheliu: 0,983 AU
Excentricita: 0,666
Sklon dráhy: 22,4°
Délka vzestupného uzlu: 273,3°
Argument perihelia: 176,5°
Střední anomálie: 0,5°
Epocha: 2023 DEC 25 17:33:36
orbit plot

NeinteraktivnĂ­ graf | InteraktivnĂ­ graf

position vs time
speed and acceleration