🇳🇴 🇬🇧 🇩🇪 🇨🇿 🇫🇮

Meteor, poloha: Øksfjord 2023-12-26 19:11:57 UTC

Soubor KML  |  Interaktivní mapa

Mapa zobrazuje dráhy meteoru. Světlejší čáry ukazují směry od pozorovacích stanic při objevení se meteoru a tmavší čáry, kde byl naposledy viděn. Modrá šipka značí viditelnou dráhu meteoru.

static map
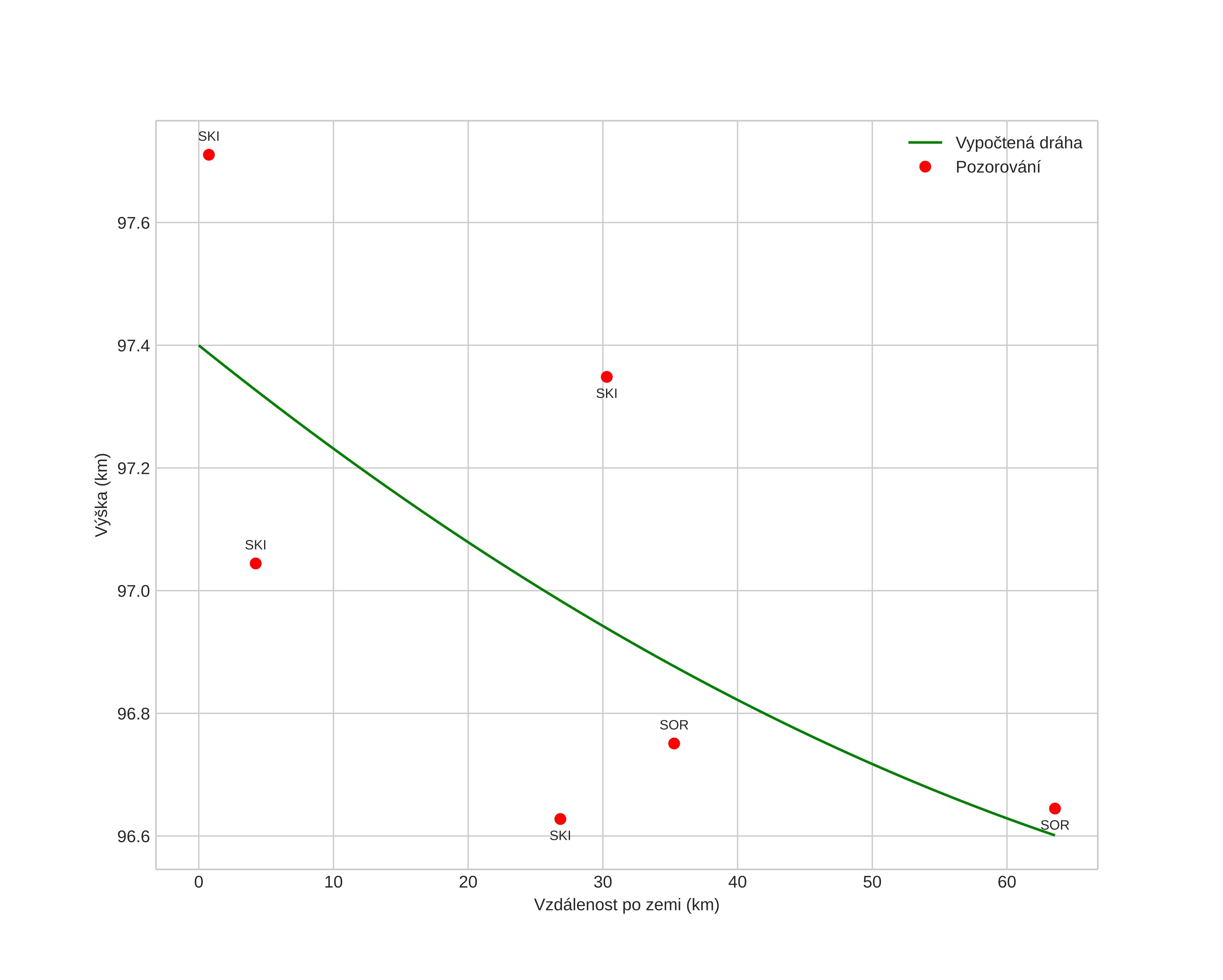
height profile
Atmosférická dráha meteoru:
Počáteční výška: 106,1 km
Konečná výška: 89,4 km
Počáteční poloha: 69,928N 21,503E
Konečná poloha: 69,999N 22,613E
Směr: 78,8°
Sklon: 21,2°
Vstupní rychlost: 18,5 km/s
Rektascenze radiantu: 21:55 (328,8°)
Deklinace radiantu: 7,9°
Meteorický roj: sporadický
Elementy dráhy meteoroidu:
Vzdálenost v periheliu: 0,958 AU
Excentricita: 1,084
Sklon dráhy: 6,7°
Délka vzestupného uzlu: 274,4°
Argument perihelia: 161,8°
Střední anomálie: 0,3°
Epocha: 2023 DEC 26 19:11:57
orbit plot

Neinteraktivní graf | Interaktivní graf

position vs time
speed and acceleration