🇳🇴 🇬🇧 🇩🇪 🇨🇿 🇫🇮

Meteor Finnsnesin yllä 2023-12-29 16:44:22 UTC

KML-tiedosto  |  Interaktiivinen kartta

Kartta näyttää meteorin suuntahavainnot. Vaaleammat viivat näyttävät suunnat havaintoasemilta meteorin ilmestyessä, ja tummemmat viivat näyttävät, missä se viimeksi nähtiin. Sininen nuoli näyttää meteorin näkyvän lennon.

static map
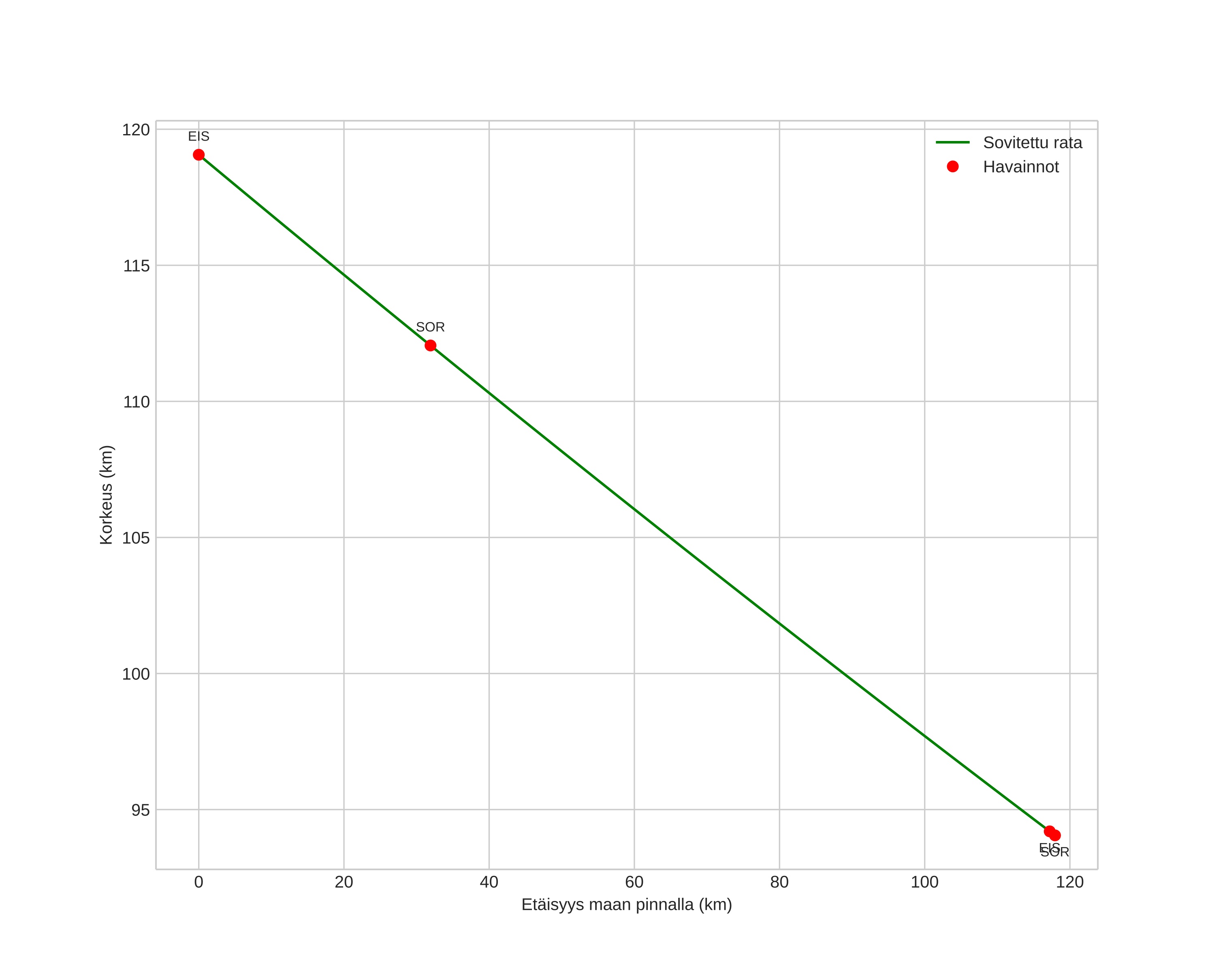
height profile
Meteorin ilmakehärata:
Alkukorkeus: 119,1 km
Loppukorkeus: 94,1 km
Alkupiste: 72,097N 16,026E
Loppupiste: 71,161N 17,611E
Suunta: 151,1°
Kallistuskulma: 12,0°
Tulonopeus: 68,0 km/s
Radiantin R,A,: 14:27 (216,8°)
Radiantin Dekl,: 26,9°
Meteoriparvi: Sporadinen
Meteoroidin rataelementit:
Perihelietäisyys: 0,913 AU
Eksentrisyys: 1,593
Inklinaatio: 115,3°
Nousevan solmun pituus: 277,4°
Perihelin argumentti: 152,0°
Keskianomalia: 8,4°
Epookki: 2023 DEC 29 16:44:22
orbit plot

Ei-interaktiivinen kuvaaja | Interaktiivinen kuvaaja

position vs time
speed and acceleration