🇳🇴 🇬🇧 🇩🇪 🇨🇿 🇫🇮

Meteor, poloha: Tromsø 2023-12-30 14:11:55 UTC

Soubor KML  |  InteraktivnĂ­ mapa

Mapa zobrazuje dráhy meteoru. Světlejší čáry ukazují směry od pozorovacích stanic při objevení se meteoru a tmavší čáry, kde byl naposledy viděn. Modrá šipka značí viditelnou dráhu meteoru.

static map
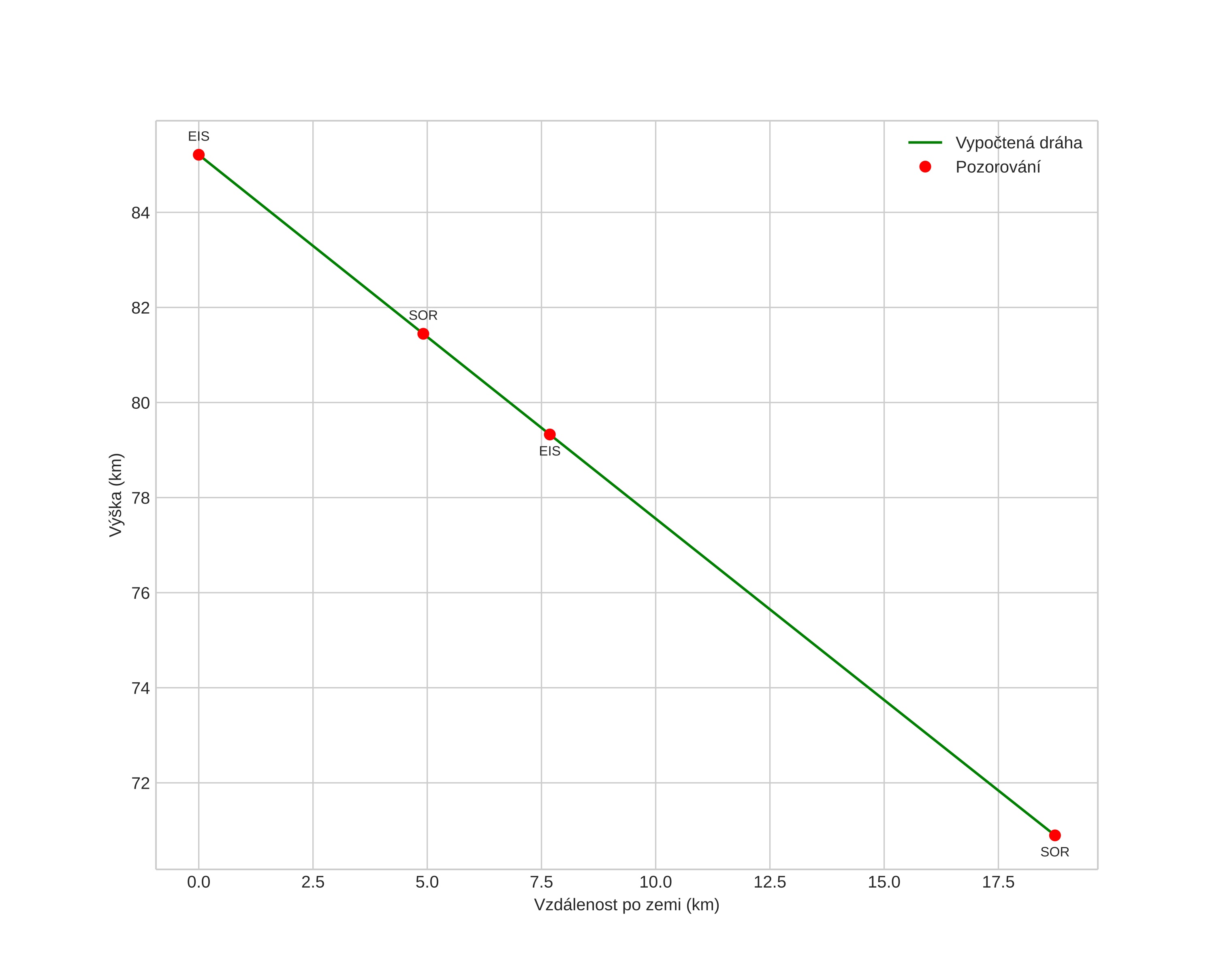
height profile
Atmosférická dráha meteoru:
Počáteční výška: 85,2 km
Konečná výška: 70,9 km
Počáteční poloha: 69,695N 18,510E
Konečná poloha: 69,838N 18,769E
Směr: 32,1°
Sklon: 37,3°
VstupnĂ­ rychlost: 17,6 km/s
Rektascenze radiantu: 20:05 (301,4°)
Deklinace radiantu: 12,4°
MeteorickĂ˝ roj: sporadickĂ˝
Elementy dráhy meteoroidu:
Vzdálenost v periheliu: 0,891 AU
Excentricita: 0,633
Sklon dráhy: 11,4°
Délka vzestupného uzlu: 278,3°
Argument perihelia: 139,4°
Střední anomálie: 7,5°
Epocha: 2023 DEC 30 14:11:55
orbit plot

NeinteraktivnĂ­ graf | InteraktivnĂ­ graf

position vs time
speed and acceleration