🇳🇴 🇬🇧 🇩🇪 🇨🇿 🇫🇮

Meteor Skjervøyn yllä 2023-12-30 21:21:04 UTC

KML-tiedosto  |  Interaktiivinen kartta

Kartta näyttää meteorin suuntahavainnot. Vaaleammat viivat näyttävät suunnat havaintoasemilta meteorin ilmestyessä, ja tummemmat viivat näyttävät, missä se viimeksi nähtiin. Sininen nuoli näyttää meteorin näkyvän lennon.

static map
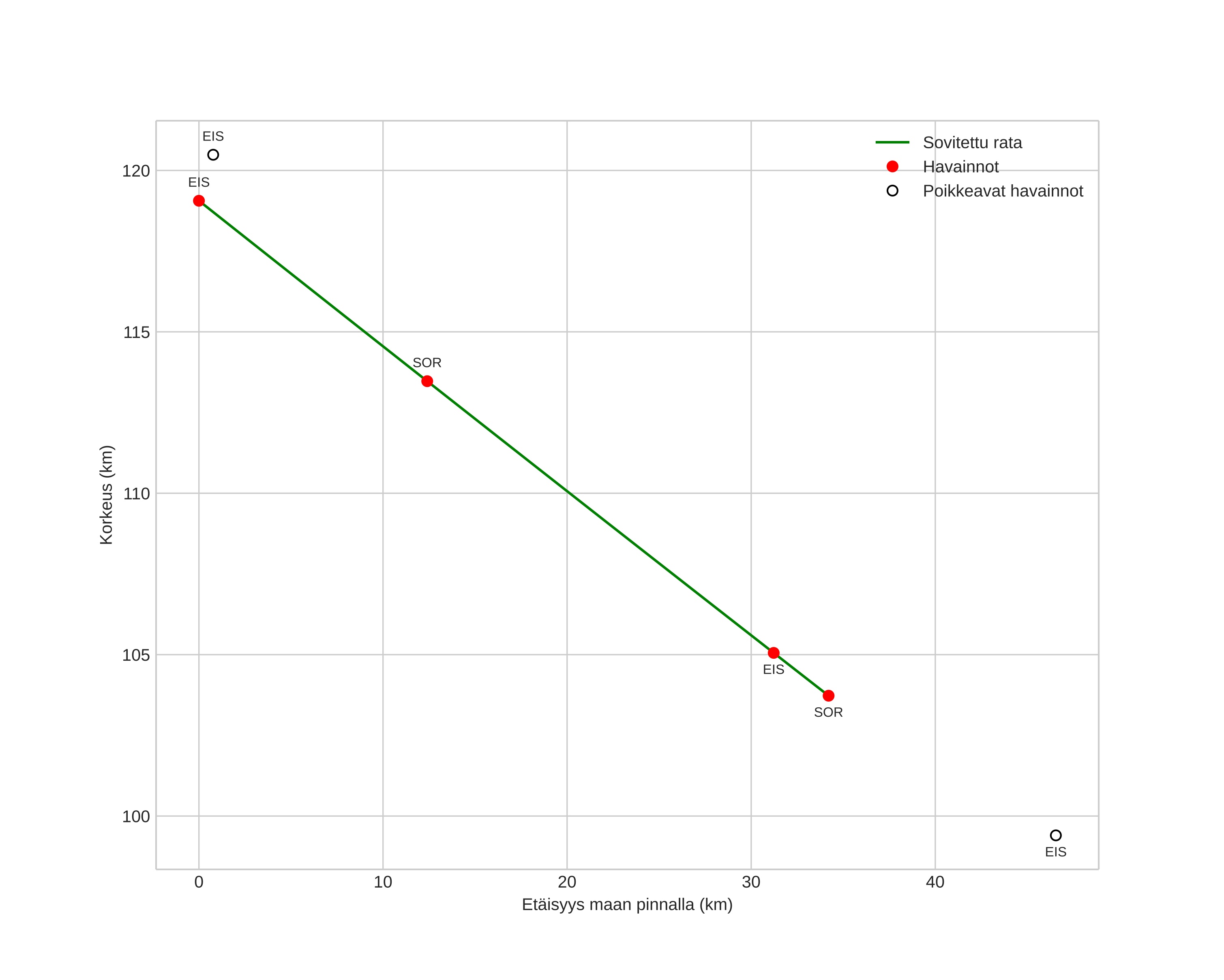
height profile
Meteorin ilmakehärata:
Alkukorkeus: 113,6 km
Loppukorkeus: 92,3 km
Alkupiste: 70,726N 22,105E
Loppupiste: 70,662N 20,872E
Suunta: 261,6°
Kallistuskulma: 24,9°
Tulonopeus: 61,5 km/s
Radiantin R,A,: 11:21 (170,4°)
Radiantin Dekl,: 25,8°
Meteoriparvi: desember-leonis-minoridene
Meteoroidin rataelementit:
Perihelietäisyys: 0,481 AU
Eksentrisyys: 0,846
Inklinaatio: 134,1°
Nousevan solmun pituus: 278,6°
Perihelin argumentti: 276,6°
Keskianomalia: 352,5°
Epookki: 2023 DEC 30 21:21:04
orbit plot

Ei-interaktiivinen kuvaaja | Interaktiivinen kuvaaja

position vs time
speed and acceleration