🇳🇴 🇬🇧 🇩🇪 🇨🇿 🇫🇮

Meteor, poloha: Tromsø 2023-12-31 00:36:53 UTC

Soubor KML  |  InteraktivnĂ­ mapa

Mapa zobrazuje dráhy meteoru. Světlejší čáry ukazují směry od pozorovacích stanic při objevení se meteoru a tmavší čáry, kde byl naposledy viděn. Modrá šipka značí viditelnou dráhu meteoru.

static map
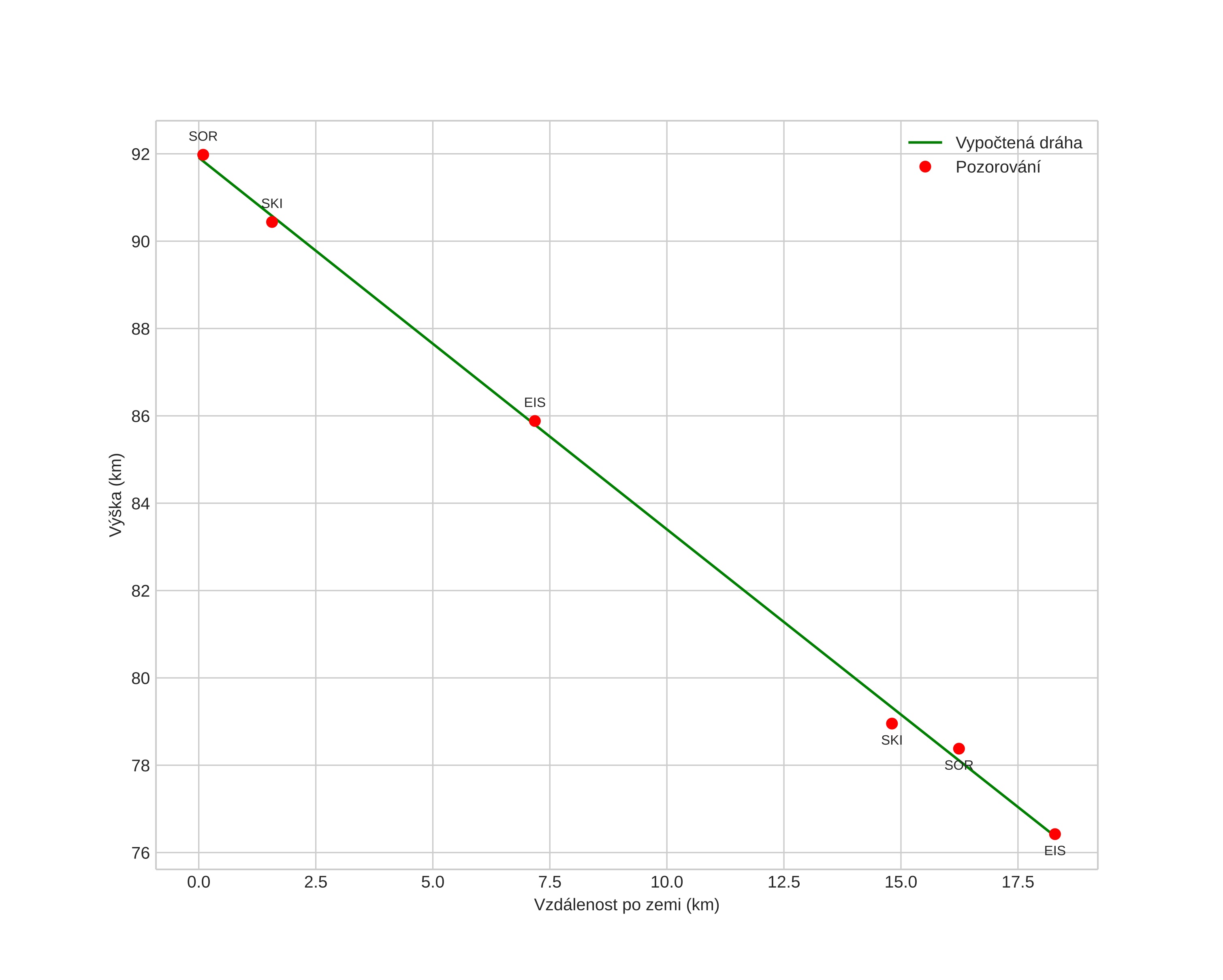
height profile
Atmosférická dráha meteoru:
Počáteční výška: 91,9 km
Konečná výška: 76,5 km
Počáteční poloha: 69,702N 18,924E
Konečná poloha: 69,540N 18,961E
Směr: 175,4°
Sklon: 40,4°
VstupnĂ­ rychlost: 18,7 km/s
Rektascenze radiantu: 20:58 (314,6°)
Deklinace radiantu: 54,7°
MeteorickĂ˝ roj: sporadickĂ˝
Elementy dráhy meteoroidu:
Vzdálenost v periheliu: 0,981 AU
Excentricita: 0,663
Sklon dráhy: 20,8°
Délka vzestupného uzlu: 278,7°
Argument perihelia: 173,8°
Střední anomálie: 0,9°
Epocha: 2023 DEC 31 00:36:53
orbit plot

NeinteraktivnĂ­ graf | InteraktivnĂ­ graf

position vs time
speed and acceleration