🇳🇴 🇬🇧 🇩🇪 🇨🇿 🇫🇮

Meteor, poloha: Storsteinnes 2023-12-31 03:55:29 UTC

Soubor KML  |  InteraktivnĂ­ mapa

Mapa zobrazuje dráhy meteoru. Světlejší čáry ukazují směry od pozorovacích stanic při objevení se meteoru a tmavší čáry, kde byl naposledy viděn. Modrá šipka značí viditelnou dráhu meteoru.

static map
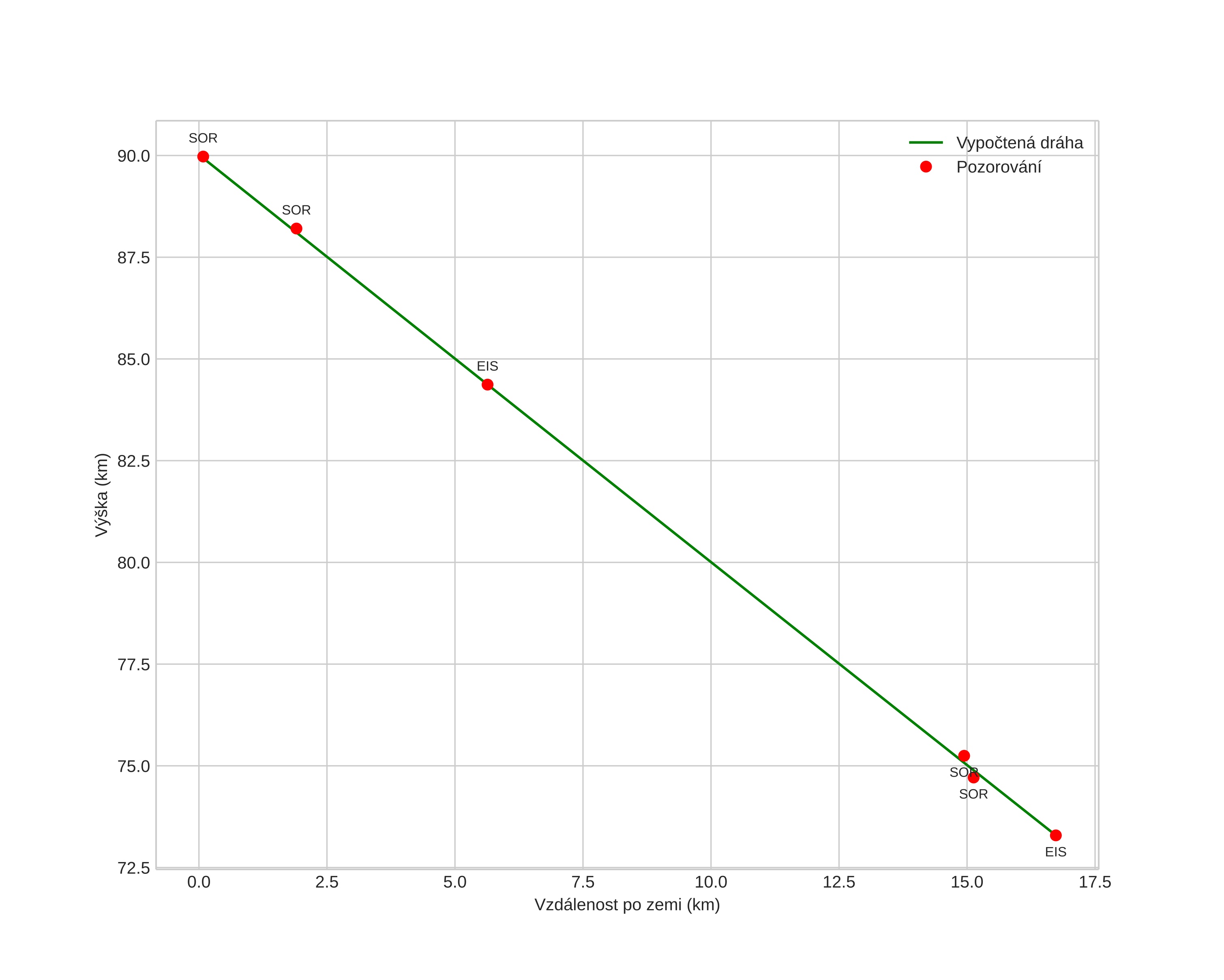
height profile
Atmosférická dráha meteoru:
Počáteční výška: 88,7 km
Konečná výška: 72,6 km
Počáteční poloha: 68,619N 19,557E
Konečná poloha: 68,489N 19,405E
Směr: 203,2°
Sklon: 45,7°
VstupnĂ­ rychlost: 22,7 km/s
Rektascenze radiantu: 21:24 (321,1°)
Deklinace radiantu: 61,3°
MeteorickĂ˝ roj: sporadickĂ˝
Elementy dráhy meteoroidu:
Vzdálenost v periheliu: 0,983 AU
Excentricita: 0,952
Sklon dráhy: 25,8°
Délka vzestupného uzlu: 278,9°
Argument perihelia: 180,9°
Střední anomálie: 360,0°
Epocha: 2023 DEC 31 03:55:29
orbit plot

NeinteraktivnĂ­ graf | InteraktivnĂ­ graf

position vs time
speed and acceleration