🇳🇴 🇬🇧 🇩🇪 🇨🇿 🇫🇮

Meteor Tromsøin yllä 2023-12-31 17:23:44 UTC

KML-tiedosto  |  Interaktiivinen kartta

Kartta näyttää meteorin suuntahavainnot. Vaaleammat viivat näyttävät suunnat havaintoasemilta meteorin ilmestyessä, ja tummemmat viivat näyttävät, missä se viimeksi nähtiin. Sininen nuoli näyttää meteorin näkyvän lennon.

static map
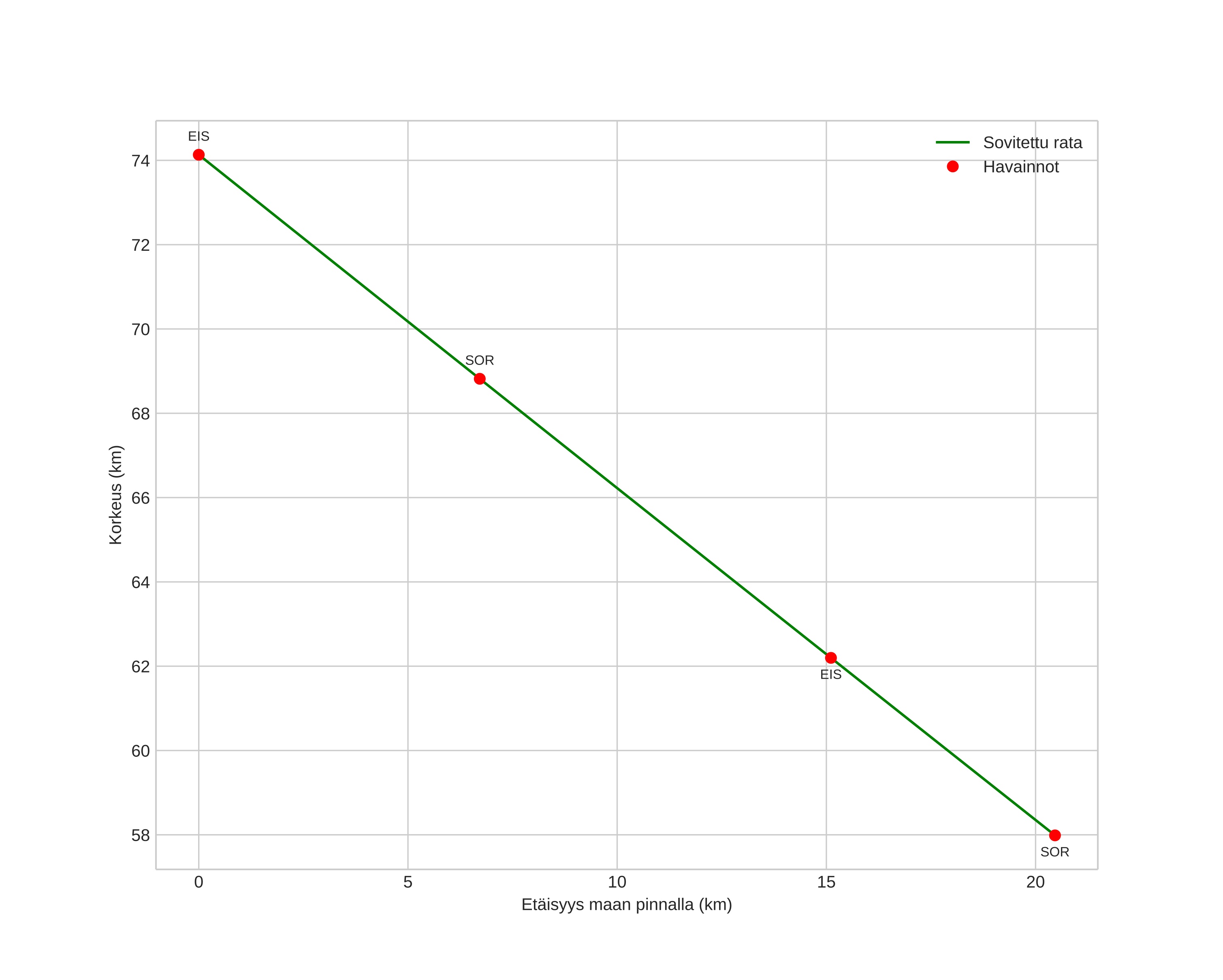
height profile
Meteorin ilmakehärata:
Alkukorkeus: 71,5 km
Loppukorkeus: 57,7 km
Alkupiste: 70,027N 18,500E
Loppupiste: 70,172N 18,855E
Suunta: 39,7°
Kallistuskulma: 33,3°
Tulonopeus: 13,9 km/s
Radiantin R,A,: 22:43 (340,9°)
Radiantin Dekl,: 2,2°
Meteoriparvi: Sporadinen
Meteoroidin rataelementit:
Perihelietäisyys: 0,971 AU
Eksentrisyys: 0,601
Inklinaatio: 2,1°
Nousevan solmun pituus: 279,3°
Perihelin argumentti: 165,4°
Keskianomalia: 3,0°
Epookki: 2023 DEC 31 17:23:44
orbit plot

Ei-interaktiivinen kuvaaja | Interaktiivinen kuvaaja

position vs time
speed and acceleration