🇳🇴 🇬🇧 🇩🇪 🇨🇿 🇫🇮

Meteor, poloha: Harstad 2024-01-02 16:21:57 UTC

Soubor KML  |  InteraktivnĂ­ mapa

Mapa zobrazuje dráhy meteoru. Světlejší čáry ukazují směry od pozorovacích stanic při objevení se meteoru a tmavší čáry, kde byl naposledy viděn. Modrá šipka značí viditelnou dráhu meteoru.

static map
height profile
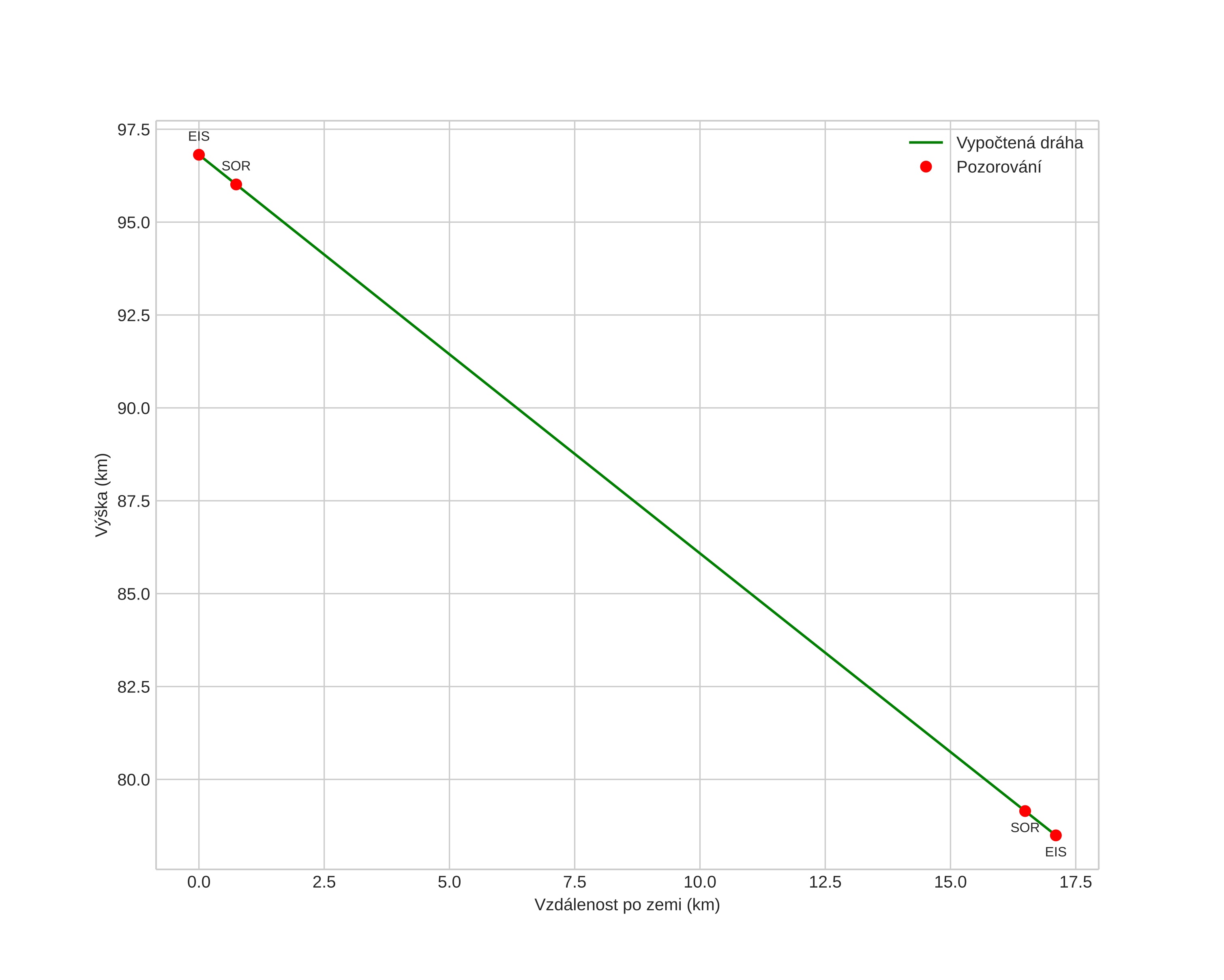
Atmosférická dráha meteoru:
Počáteční výška: 95,0 km
Konečná výška: 78,3 km
Počáteční poloha: 68,756N 16,212E
Konečná poloha: 68,735N 16,600E
Směr: 98,5°
Sklon: 46,5°
VstupnĂ­ rychlost: 25,0 km/s
Rektascenze radiantu: 19:01 (285,4°)
Deklinace radiantu: 43,0°
MeteorickĂ˝ roj: sporadickĂ˝
Elementy dráhy meteoroidu:
Vzdálenost v periheliu: 0,923 AU
Excentricita: 0,771
Sklon dráhy: 31,9°
Délka vzestupného uzlu: 281,4°
Argument perihelia: 149,3°
Střední anomálie: 2,6°
Epocha: 2024 JAN 02 16:21:57
orbit plot

NeinteraktivnĂ­ graf | InteraktivnĂ­ graf

position vs time
speed and acceleration