🇳🇴 🇬🇧 🇩🇪 🇨🇿 🇫🇮

Meteor, poloha: Finnsnes 2024-01-03 02:59:09 UTC

Soubor KML  |  InteraktivnĂ­ mapa

Mapa zobrazuje dráhy meteoru. Světlejší čáry ukazují směry od pozorovacích stanic při objevení se meteoru a tmavší čáry, kde byl naposledy viděn. Modrá šipka značí viditelnou dráhu meteoru.

static map
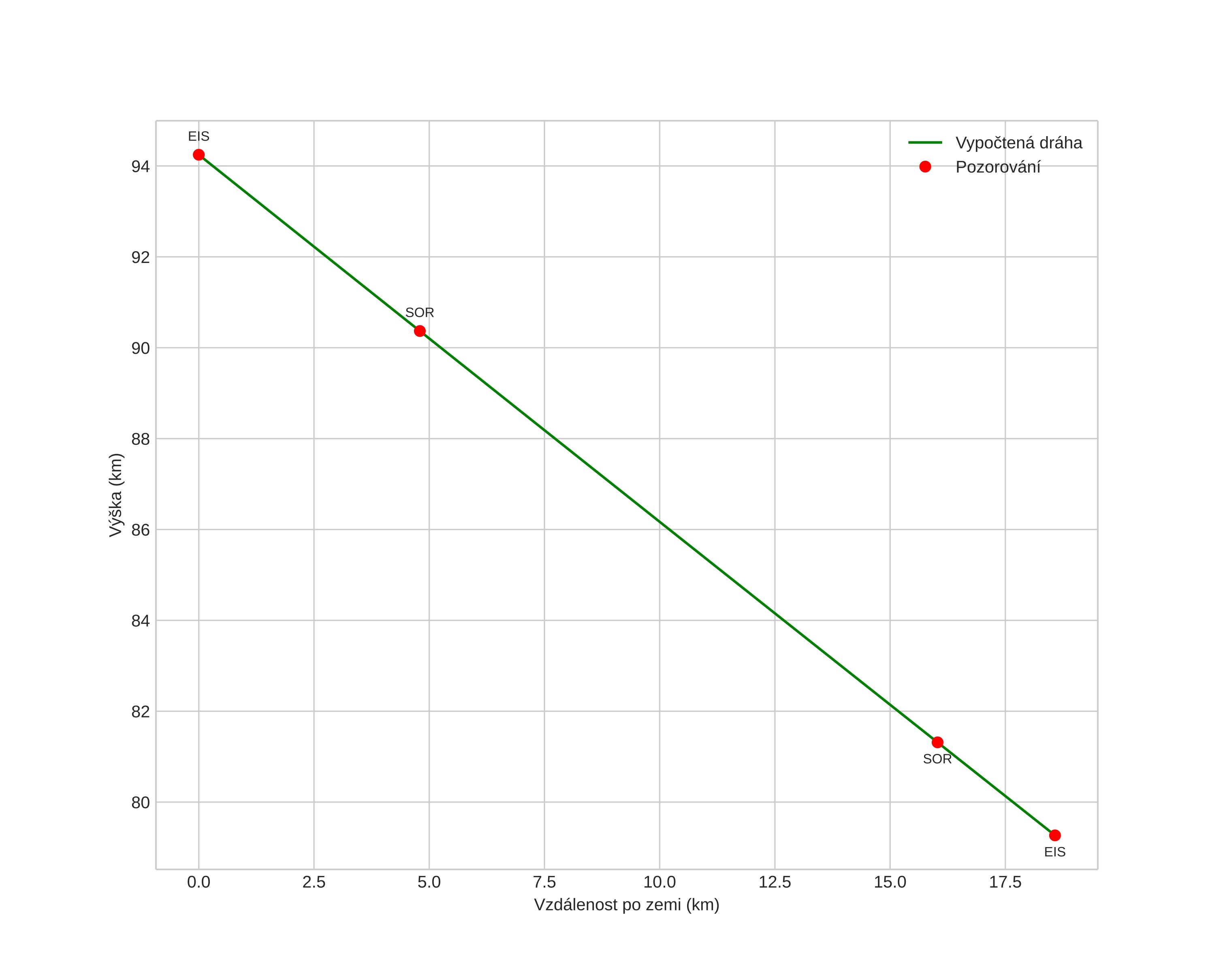
height profile
Atmosférická dráha meteoru:
Počáteční výška: 95,2 km
Konečná výška: 80,9 km
Počáteční poloha: 69,494N 17,703E
Konečná poloha: 69,519N 18,163E
Směr: 81,0°
Sklon: 38,3°
VstupnĂ­ rychlost: 25,7 km/s
Rektascenze radiantu: 06:24 (96,0°)
Deklinace radiantu: 29,7°
MeteorickĂ˝ roj: sporadickĂ˝
Elementy dráhy meteoroidu:
Vzdálenost v periheliu: 0,637 AU
Excentricita: 0,869
Sklon dráhy: 4,5°
Délka vzestupného uzlu: 281,8°
Argument perihelia: 256,0°
Střední anomálie: 356,4°
Epocha: 2024 JAN 03 02:59:09
orbit plot

NeinteraktivnĂ­ graf | InteraktivnĂ­ graf

position vs time
speed and acceleration