🇳🇴 🇬🇧 🇩🇪 🇨🇿 🇫🇮

Meteor, poloha: Narvik 2024-01-03 19:14:08 UTC

Soubor KML  |  InteraktivnĂ­ mapa

Mapa zobrazuje dráhy meteoru. Světlejší čáry ukazují směry od pozorovacích stanic při objevení se meteoru a tmavší čáry, kde byl naposledy viděn. Modrá šipka značí viditelnou dráhu meteoru.

static map
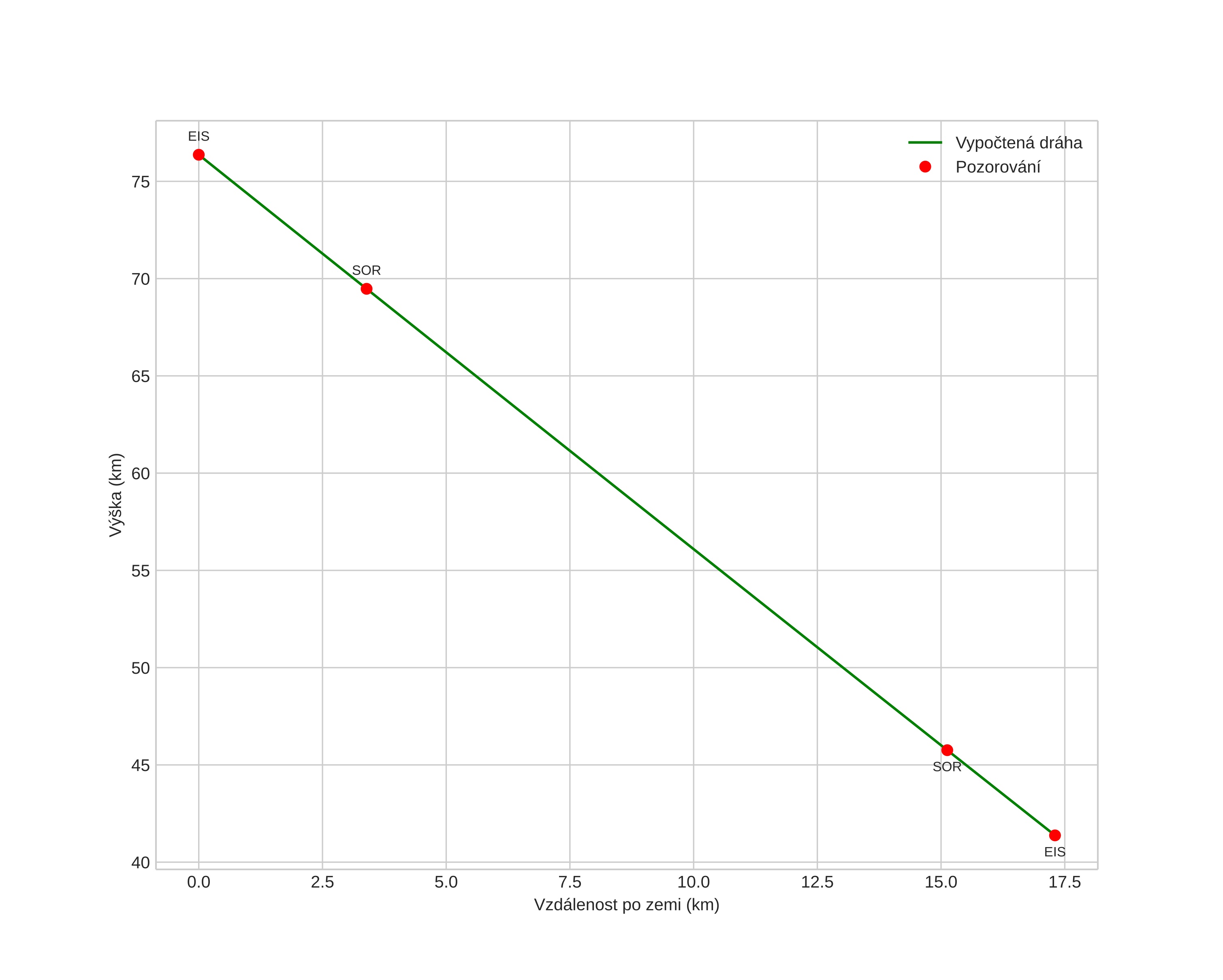
height profile
Atmosférická dráha meteoru:
Počáteční výška: 74,2 km
Konečná výška: 39,3 km
Počáteční poloha: 67,362N 17,581E
Konečná poloha: 67,303N 17,879E
Směr: 116,9°
Sklon: 67,7°
VstupnĂ­ rychlost: 18,4 km/s
Rektascenze radiantu: 22:52 (343,2°)
Deklinace radiantu: 64,9°
MeteorickĂ˝ roj: sporadickĂ˝
Elementy dráhy meteoroidu:
Vzdálenost v periheliu: 0,979 AU
Excentricita: 0,703
Sklon dráhy: 19,3°
Délka vzestupného uzlu: 282,6°
Argument perihelia: 188,0°
Střední anomálie: 359,0°
Epocha: 2024 JAN 03 19:14:08
orbit plot

NeinteraktivnĂ­ graf | InteraktivnĂ­ graf

position vs time
speed and acceleration