🇳🇴 🇬🇧 🇩🇪 🇨🇿 🇫🇮

Meteor, poloha: Finnsnes 2024-01-03 19:25:09 UTC

Soubor KML  |  InteraktivnĂ­ mapa

Mapa zobrazuje dráhy meteoru. Světlejší čáry ukazují směry od pozorovacích stanic při objevení se meteoru a tmavší čáry, kde byl naposledy viděn. Modrá šipka značí viditelnou dráhu meteoru.

static map
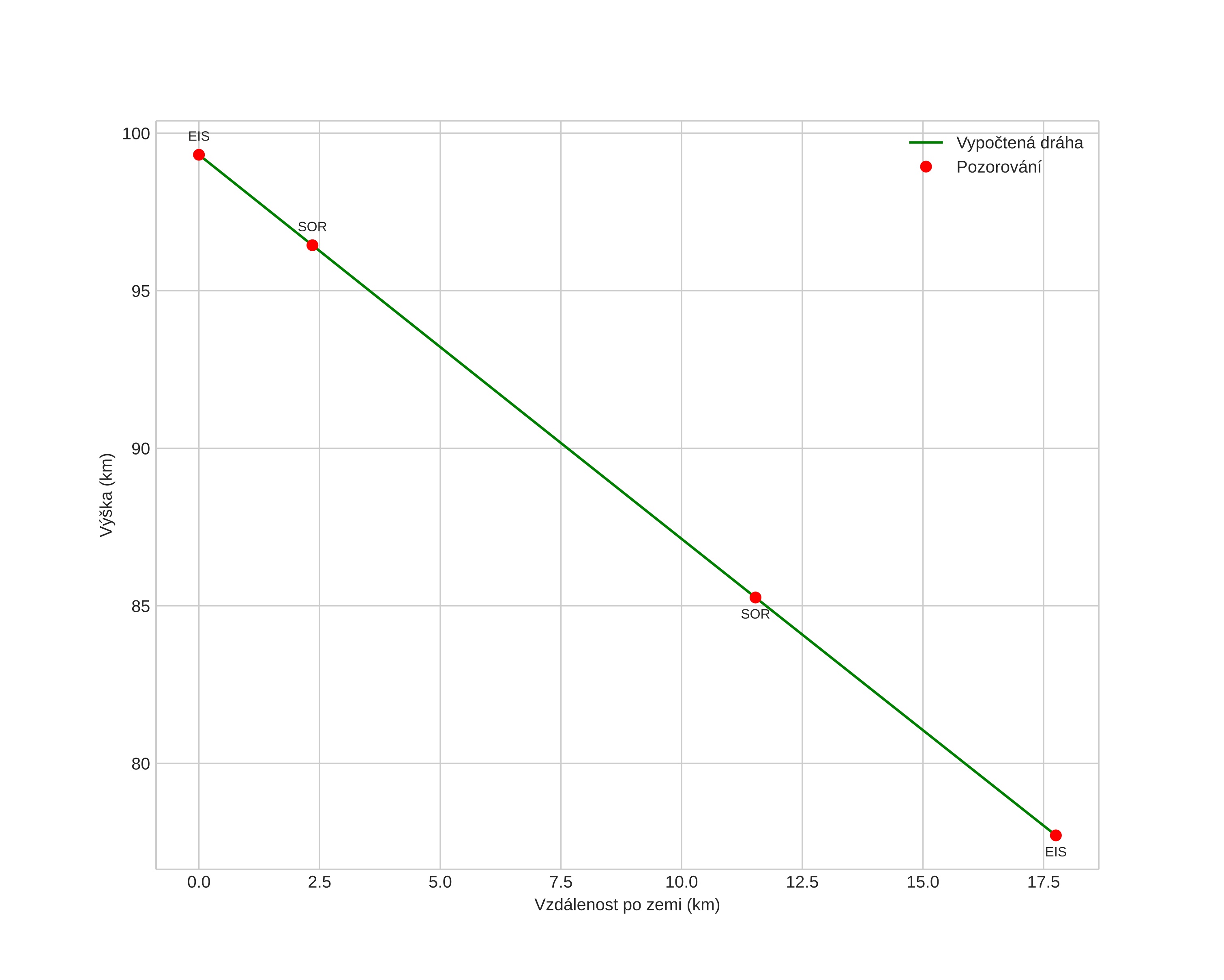
height profile
Atmosférická dráha meteoru:
Počáteční výška: 100,7 km
Konečná výška: 80,0 km
Počáteční poloha: 70,611N 17,748E
Konečná poloha: 70,464N 17,892E
Směr: 161,9°
Sklon: 50,3°
VstupnĂ­ rychlost: 34,1 km/s
Rektascenze radiantu: 17:35 (263,8°)
Deklinace radiantu: 66,8°
MeteorickĂ˝ roj: sporadickĂ˝
Elementy dráhy meteoroidu:
Vzdálenost v periheliu: 0,983 AU
Excentricita: 1,083
Sklon dráhy: 48,0°
Délka vzestupného uzlu: 282,6°
Argument perihelia: 181,3°
Střední anomálie: -0,0°
Epocha: 2024 JAN 03 19:25:09
orbit plot

NeinteraktivnĂ­ graf | InteraktivnĂ­ graf

position vs time
speed and acceleration