🇳🇴 🇬🇧 🇩🇪 🇨🇿 🇫🇮

Meteor, poloha: Røst 2024-01-03 23:23:44 UTC

Soubor KML  |  InteraktivnĂ­ mapa

Mapa zobrazuje dráhy meteoru. Světlejší čáry ukazují směry od pozorovacích stanic při objevení se meteoru a tmavší čáry, kde byl naposledy viděn. Modrá šipka značí viditelnou dráhu meteoru.

static map
height profile
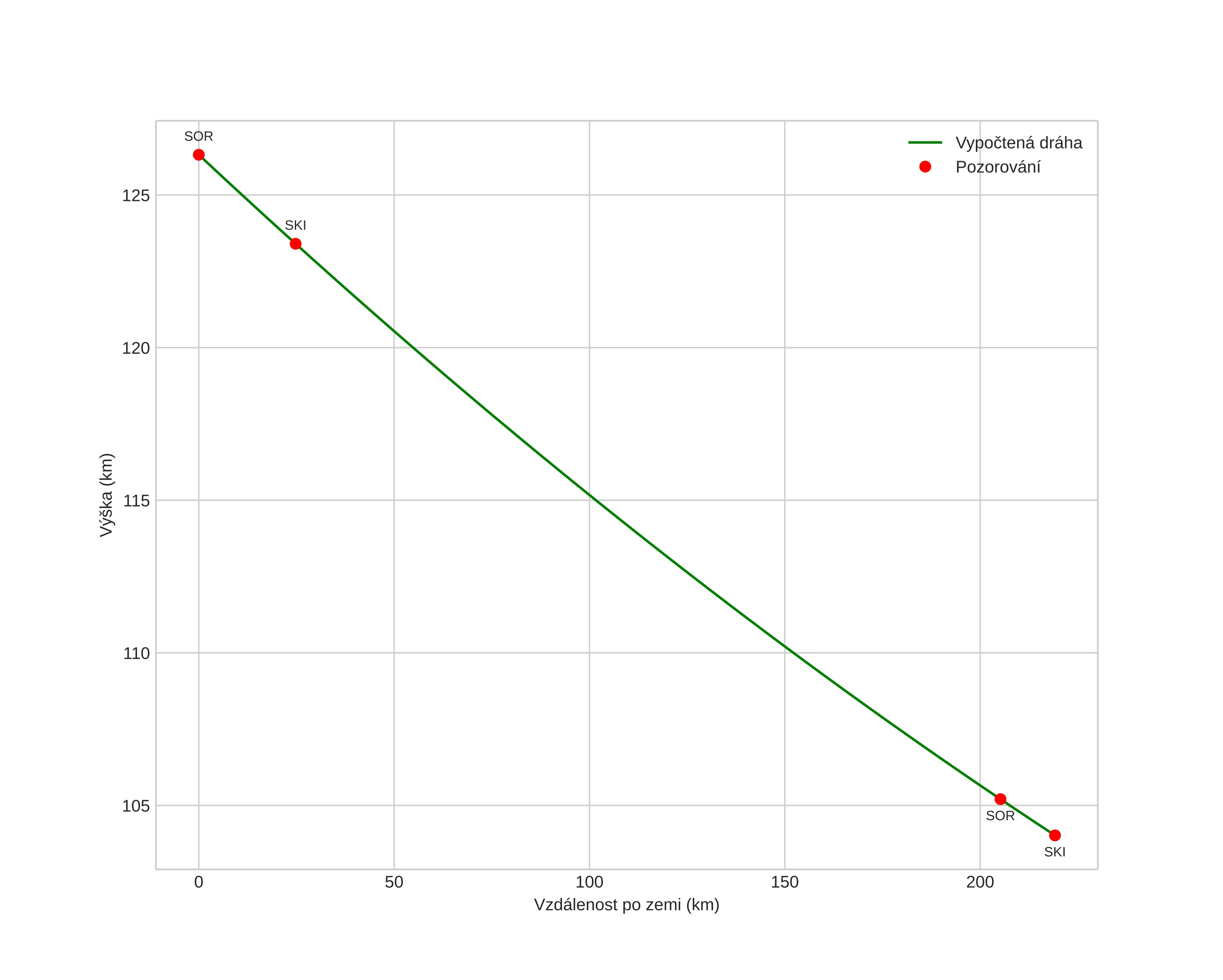
Atmosférická dráha meteoru:
Počáteční výška: 118,8 km
Konečná výška: 104,9 km
Počáteční poloha: 71,065N 8,989E
Konečná poloha: 72,268N 3,615E
Směr: 308,0°
Sklon: 3,4°
VstupnĂ­ rychlost: 83,0 km/s
Rektascenze radiantu: 10:21 (155,3°)
Deklinace radiantu: -8,5°
MeteorickĂ˝ roj: sporadickĂ˝
Elementy dráhy meteoroidu:
Vzdálenost v periheliu: 0,626 AU
Excentricita: 2,301
Sklon dráhy: 145,5°
Délka vzestupného uzlu: 102,7°
Argument perihelia: 61,4°
Střední anomálie: -69,3°
Epocha: 2024 JAN 03 23:23:44
orbit plot

NeinteraktivnĂ­ graf | InteraktivnĂ­ graf

position vs time
speed and acceleration