🇳🇴 🇬🇧 🇩🇪 🇨🇿 🇫🇮

Meteor, poloha: Tromsø 2024-01-04 06:41:55 UTC

Soubor KML  |  InteraktivnĂ­ mapa

Mapa zobrazuje dráhy meteoru. Světlejší čáry ukazují směry od pozorovacích stanic při objevení se meteoru a tmavší čáry, kde byl naposledy viděn. Modrá šipka značí viditelnou dráhu meteoru.

static map
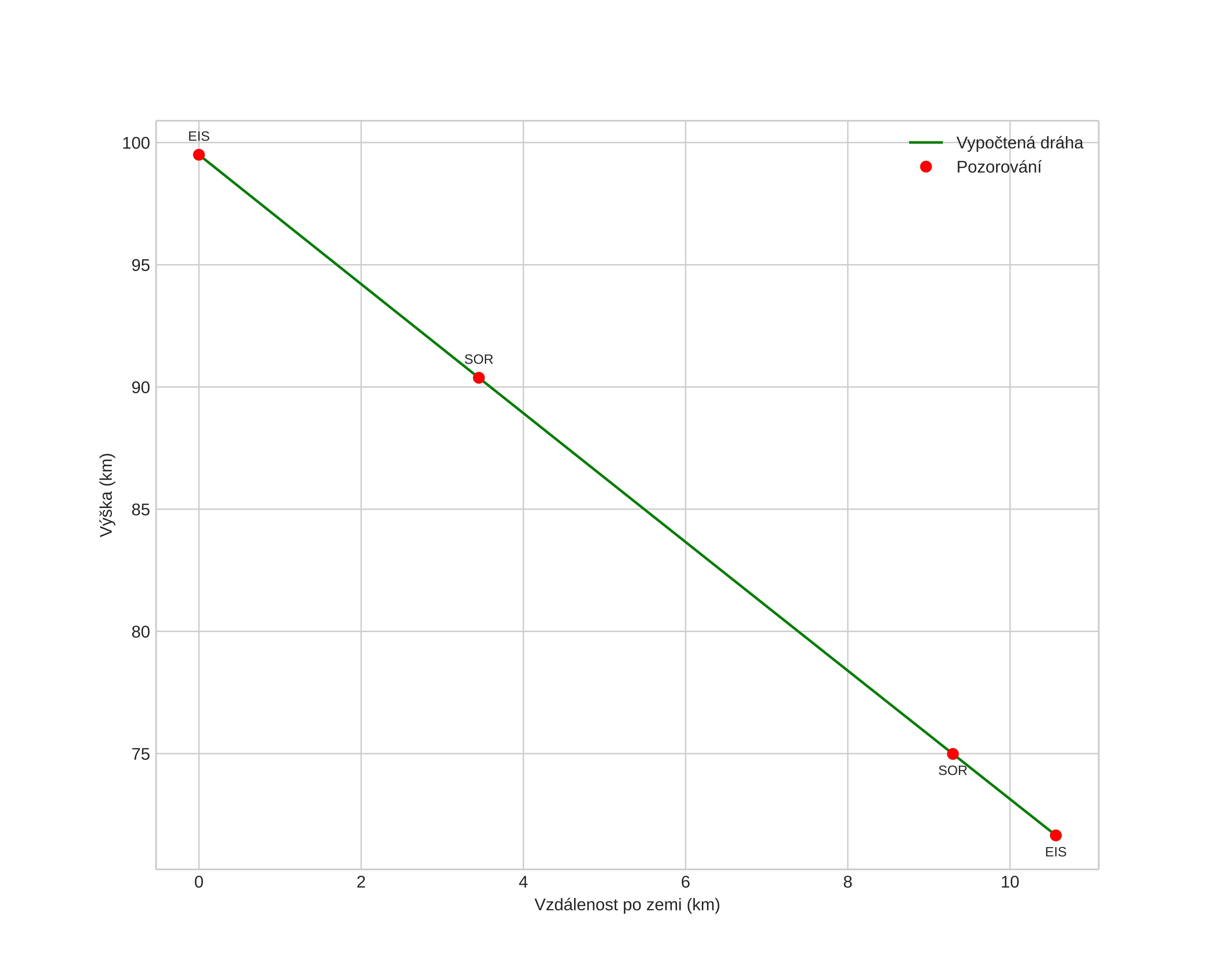
height profile
Atmosférická dráha meteoru:
Počáteční výška: 100,8 km
Konečná výška: 71,7 km
Počáteční poloha: 70,137N 18,640E
Konečná poloha: 70,222N 18,557E
Směr: 341,8°
Sklon: 71,2°
VstupnĂ­ rychlost: 40,8 km/s
Rektascenze radiantu: 15:25 (231,4°)
Deklinace radiantu: 51,5°
MeteorickĂ˝ roj: Kvadrantidy
Elementy dráhy meteoroidu:
Vzdálenost v periheliu: 0,981 AU
Excentricita: 0,647
Sklon dráhy: 68,3°
Délka vzestupného uzlu: 283,1°
Argument perihelia: 173,4°
Střední anomálie: 1,1°
Epocha: 2024 JAN 04 06:41:55
orbit plot

NeinteraktivnĂ­ graf | InteraktivnĂ­ graf

position vs time
speed and acceleration