🇳🇴 🇬🇧 🇩🇪 🇨🇿 🇫🇮

Meteor, poloha: Langesund 2024-01-04 15:39:07 UTC

Soubor KML  |  InteraktivnĂ­ mapa

Mapa zobrazuje dráhy meteoru. Světlejší čáry ukazují směry od pozorovacích stanic při objevení se meteoru a tmavší čáry, kde byl naposledy viděn. Modrá šipka značí viditelnou dráhu meteoru.

static map
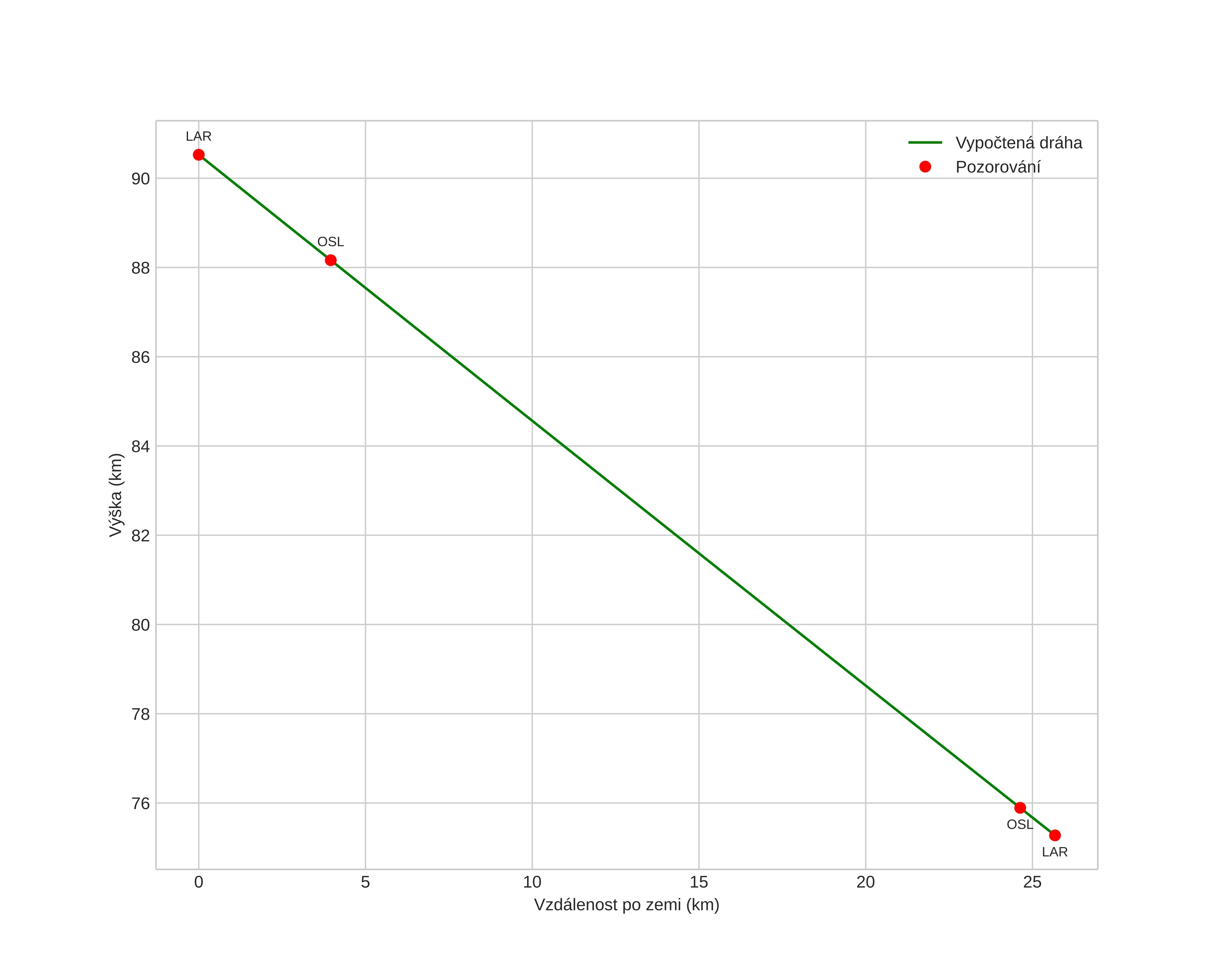
height profile
Atmosférická dráha meteoru:
Počáteční výška: 90,5 km
Konečná výška: 75,3 km
Počáteční poloha: 58,855N 9,587E
Konečná poloha: 58,680N 9,876E
Směr: 139,4°
Sklon: 30,6°
VstupnĂ­ rychlost: 42,0 km/s
Rektascenze radiantu: 15:17 (229,4°)
Deklinace radiantu: 49,6°
MeteorickĂ˝ roj: Kvadrantidy
Elementy dráhy meteoroidu:
Vzdálenost v periheliu: 0,980 AU
Excentricita: 0,631
Sklon dráhy: 71,4°
Délka vzestupného uzlu: 283,4°
Argument perihelia: 172,6°
Střední anomálie: 1,3°
Epocha: 2024 JAN 04 15:39:07
orbit plot

NeinteraktivnĂ­ graf | InteraktivnĂ­ graf

position vs time
speed and acceleration