🇳🇴 🇬🇧 🇩🇪 🇨🇿 🇫🇮

Meteor, poloha: Sunndalsøra 2024-01-06 17:35:35 UTC

Soubor KML  |  InteraktivnĂ­ mapa

Mapa zobrazuje dráhy meteoru. Světlejší čáry ukazují směry od pozorovacích stanic při objevení se meteoru a tmavší čáry, kde byl naposledy viděn. Modrá šipka značí viditelnou dráhu meteoru.

static map
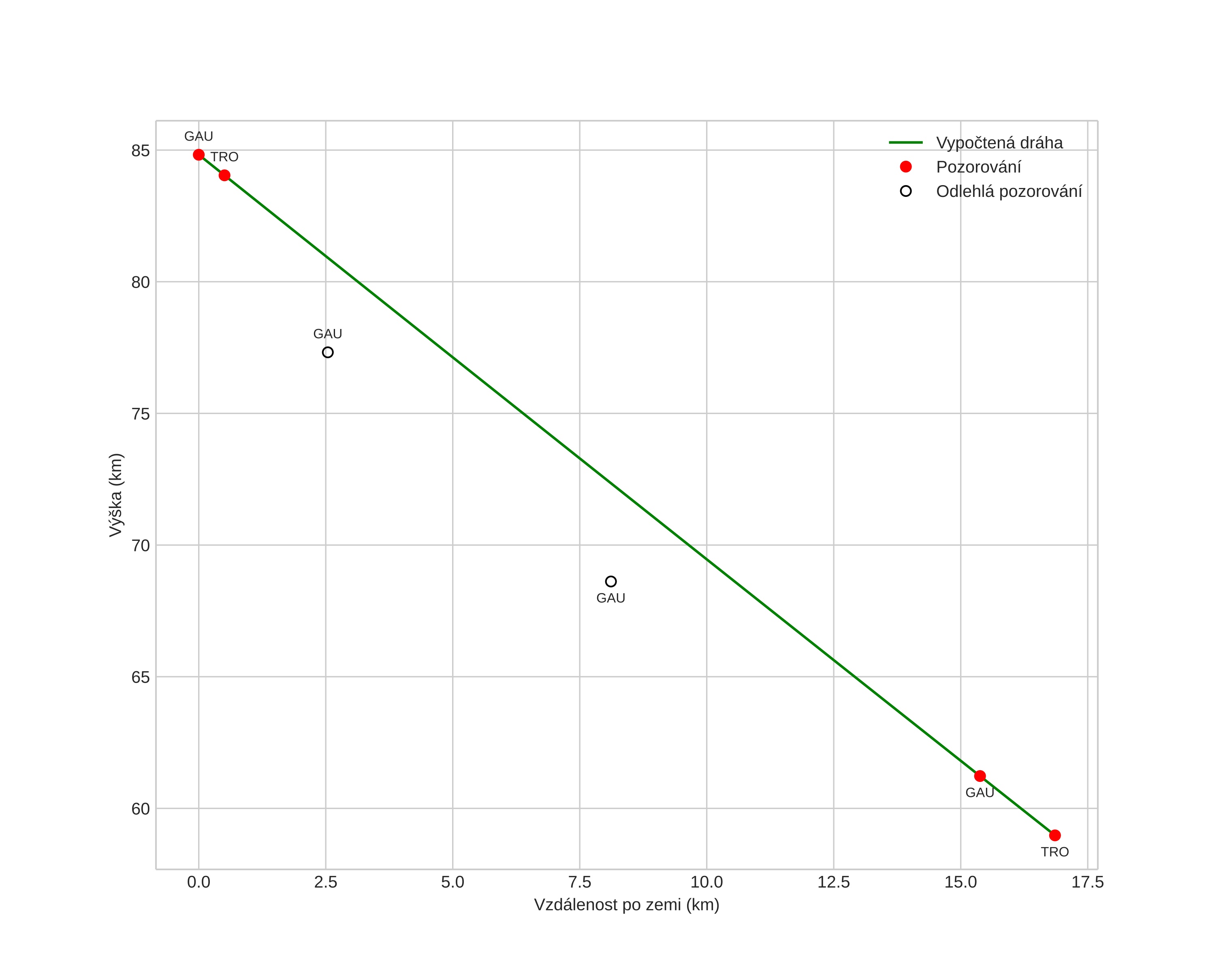
height profile
Atmosférická dráha meteoru:
Počáteční výška: 84,7 km
Konečná výška: 59,1 km
Počáteční poloha: 62,609N 8,406E
Konečná poloha: 62,644N 8,721E
Směr: 76,6°
Sklon: 57,1°
VstupnĂ­ rychlost: 16,1 km/s
Rektascenze radiantu: 21:44 (326,2°)
Deklinace radiantu: 38,5°
MeteorickĂ˝ roj: sporadickĂ˝
Elementy dráhy meteoroidu:
Vzdálenost v periheliu: 0,971 AU
Excentricita: 0,638
Sklon dráhy: 13,2°
Délka vzestupného uzlu: 285,5°
Argument perihelia: 165,4°
Střední anomálie: 2,5°
Epocha: 2024 JAN 06 17:35:35
orbit plot

NeinteraktivnĂ­ graf | InteraktivnĂ­ graf

position vs time
speed and acceleration