🇳🇴 🇬🇧 🇩🇪 🇨🇿 🇫🇮

Meteor, poloha: Gaupne 2024-01-07 00:26:48 UTC

Soubor KML  |  InteraktivnĂ­ mapa

Mapa zobrazuje dráhy meteoru. Světlejší čáry ukazují směry od pozorovacích stanic při objevení se meteoru a tmavší čáry, kde byl naposledy viděn. Modrá šipka značí viditelnou dráhu meteoru.

static map
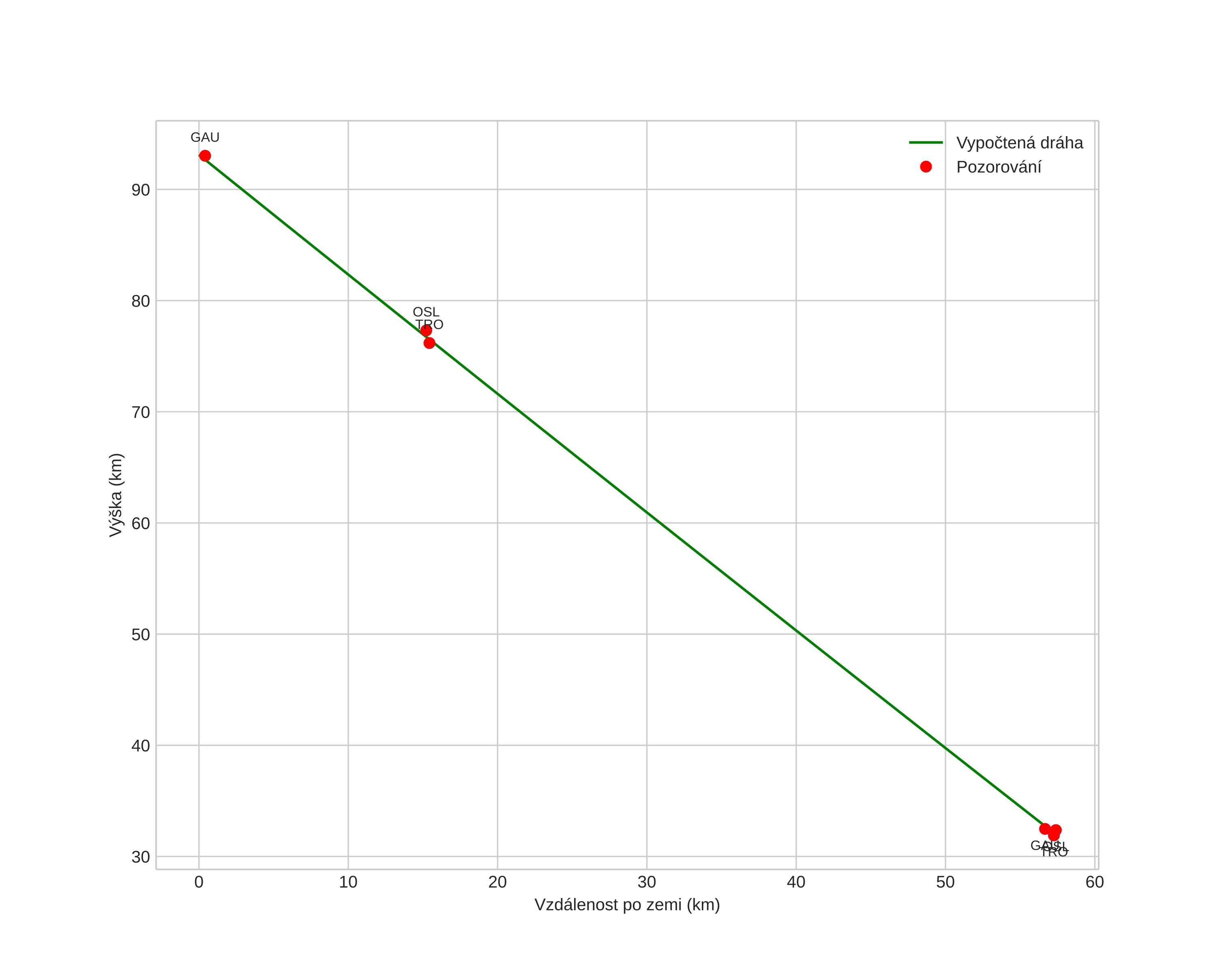
height profile
Atmosférická dráha meteoru:
Počáteční výška: 94,7 km
Konečná výška: 32,1 km
Počáteční poloha: 61,351N 7,537E
Konečná poloha: 61,876N 7,516E
Směr: 358,9°
Sklon: 47,0°
VstupnĂ­ rychlost: 33,1 km/s
Rektascenze radiantu: 08:01 (120,3°)
Deklinace radiantu: 17,0°
MeteorickĂ˝ roj: sporadickĂ˝
Elementy dráhy meteoroidu:
Vzdálenost v periheliu: 0,316 AU
Excentricita: 0,879
Sklon dráhy: 4,6°
Délka vzestupného uzlu: 105,9°
Argument perihelia: 116,7°
Střední anomálie: 350,7°
Epocha: 2024 JAN 07 00:26:48
orbit plot

NeinteraktivnĂ­ graf | InteraktivnĂ­ graf

position vs time
speed and acceleration