🇳🇴 🇬🇧 🇩🇪 🇨🇿 🇫🇮

Meteor, poloha: Sveg 2024-01-07 23:57:17 UTC

Soubor KML  |  InteraktivnĂ­ mapa

Mapa zobrazuje dráhy meteoru. Světlejší čáry ukazují směry od pozorovacích stanic při objevení se meteoru a tmavší čáry, kde byl naposledy viděn. Modrá šipka značí viditelnou dráhu meteoru.

static map
height profile
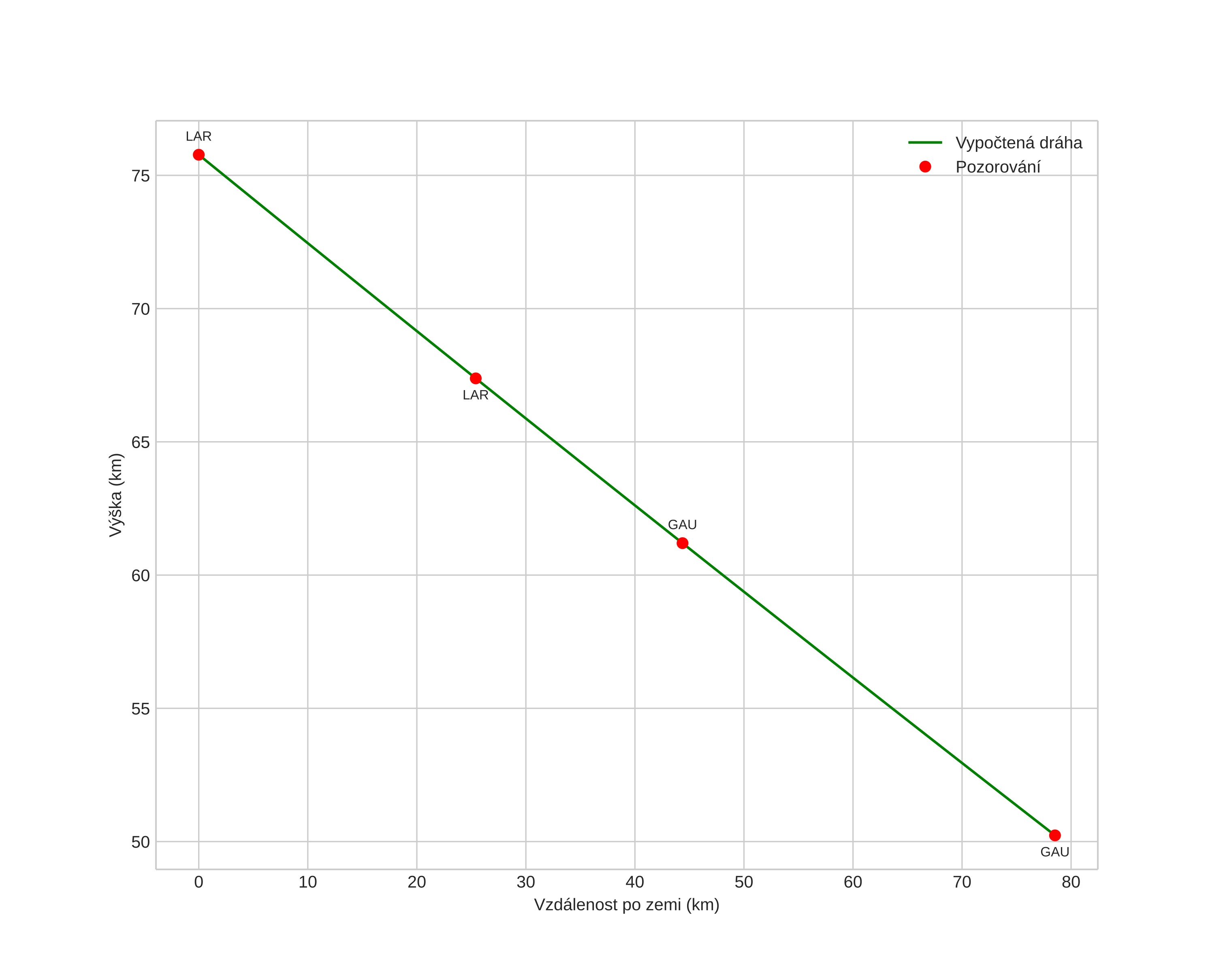
Atmosférická dráha meteoru:
Počáteční výška: 75,8 km
Konečná výška: 50,2 km
Počáteční poloha: 62,024N 16,283E
Konečná poloha: 62,332N 14,921E
Směr: 296,5°
Sklon: 18,1°
VstupnĂ­ rychlost: 45,4 km/s
Rektascenze radiantu: 12:04 (181,2°)
Deklinace radiantu: 3,3°
MeteorickĂ˝ roj: sporadickĂ˝
Elementy dráhy meteoroidu:
Vzdálenost v periheliu: 0,083 AU
Excentricita: 0,860
Sklon dráhy: 167,1°
Délka vzestupného uzlu: 286,9°
Argument perihelia: 348,7°
Střední anomálie: 251,0°
Epocha: 2024 JAN 07 23:57:17
orbit plot

NeinteraktivnĂ­ graf | InteraktivnĂ­ graf

position vs time
speed and acceleration