🇳🇴 🇬🇧 🇩🇪 🇨🇿 🇫🇮

Meteor, poloha: Utsira 2024-01-08 02:18:24 UTC

Soubor KML  |  InteraktivnĂ­ mapa

Mapa zobrazuje dráhy meteoru. Světlejší čáry ukazují směry od pozorovacích stanic při objevení se meteoru a tmavší čáry, kde byl naposledy viděn. Modrá šipka značí viditelnou dráhu meteoru.

static map
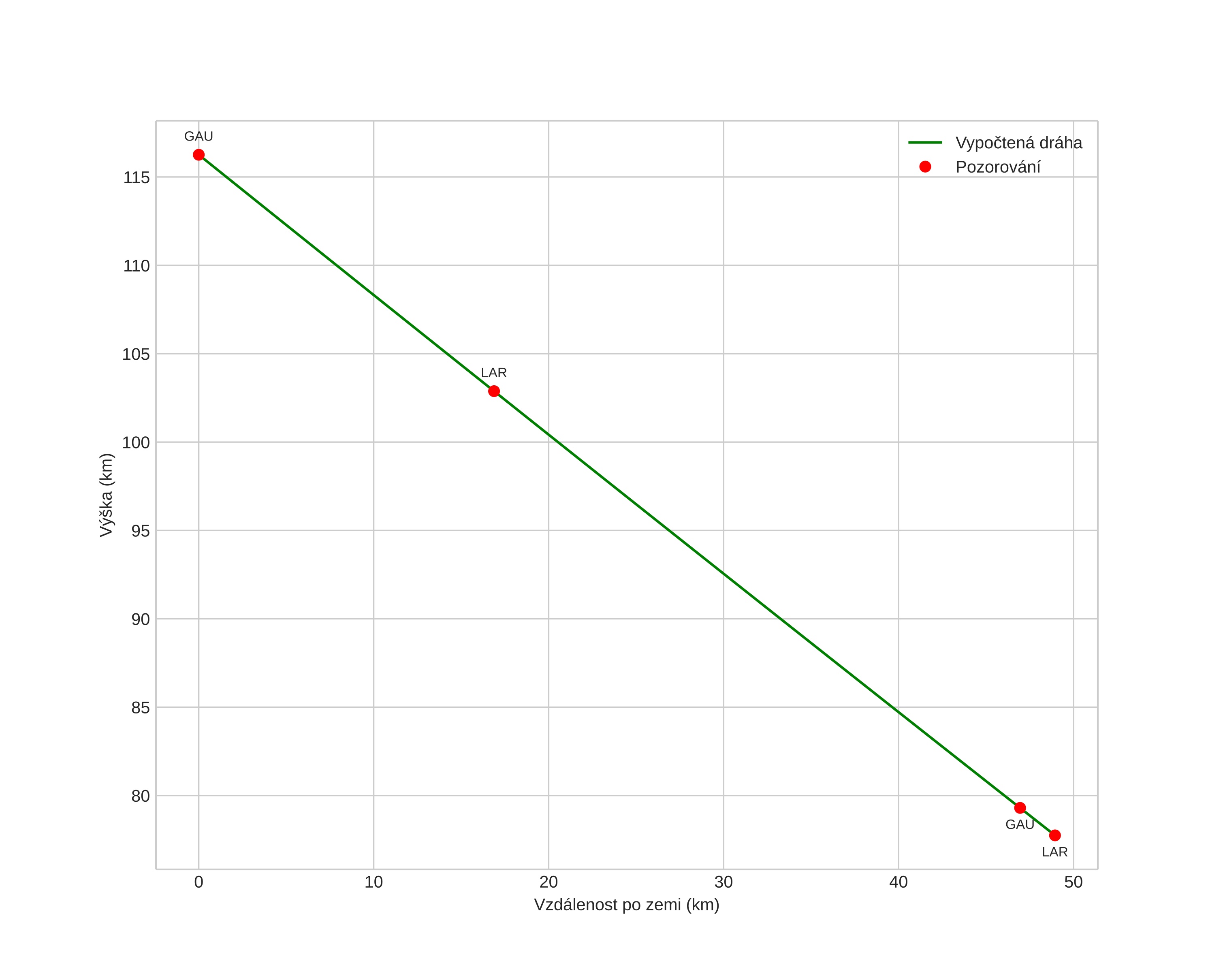
height profile
Atmosférická dráha meteoru:
Počáteční výška: 115,1 km
Konečná výška: 76,9 km
Počáteční poloha: 59,213N 4,105E
Konečná poloha: 59,500N 3,592E
Směr: 317,9°
Sklon: 41,5°
VstupnĂ­ rychlost: 63,6 km/s
Rektascenze radiantu: 11:47 (177,0°)
Deklinace radiantu: 16,3°
MeteorickĂ˝ roj: desember-leonis-minoridene
Elementy dráhy meteoroidu:
Vzdálenost v periheliu: 0,473 AU
Excentricita: 0,851
Sklon dráhy: 148,5°
Délka vzestupného uzlu: 286,9°
Argument perihelia: 277,4°
Střední anomálie: 352,8°
Epocha: 2024 JAN 08 02:18:24
orbit plot

NeinteraktivnĂ­ graf | InteraktivnĂ­ graf

position vs time
speed and acceleration