🇳🇴 🇬🇧 🇩🇪 🇨🇿 🇫🇮

Meteor, poloha: Tromsø 2024-01-11 06:47:22 UTC

Soubor KML  |  InteraktivnĂ­ mapa

Mapa zobrazuje dráhy meteoru. Světlejší čáry ukazují směry od pozorovacích stanic při objevení se meteoru a tmavší čáry, kde byl naposledy viděn. Modrá šipka značí viditelnou dráhu meteoru.

static map
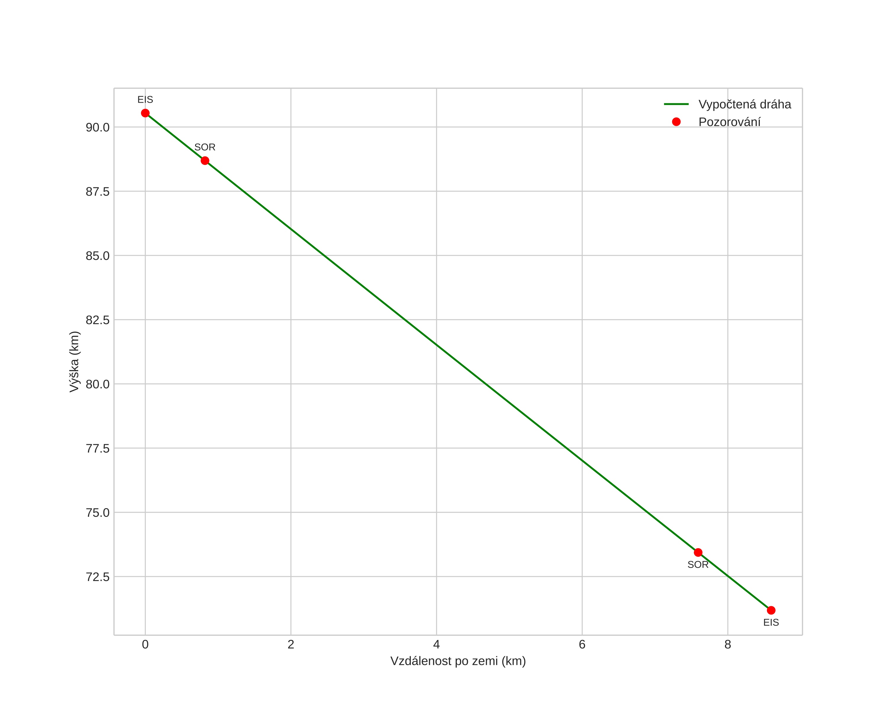
height profile
Atmosférická dráha meteoru:
Počáteční výška: 92,9 km
Konečná výška: 72,3 km
Počáteční poloha: 69,263N 18,893E
Konečná poloha: 69,346N 18,888E
Směr: 358,9°
Sklon: 65,9°
VstupnĂ­ rychlost: 49,3 km/s
Rektascenze radiantu: 15:24 (231,1°)
Deklinace radiantu: 44,8°
MeteorickĂ˝ roj: sporadickĂ˝
Elementy dráhy meteoroidu:
Vzdálenost v periheliu: 0,979 AU
Excentricita: 0,979
Sklon dráhy: 81,2°
Délka vzestupného uzlu: 290,2°
Argument perihelia: 172,1°
Střední anomálie: 0,0°
Epocha: 2024 JAN 11 06:47:22
orbit plot

NeinteraktivnĂ­ graf | InteraktivnĂ­ graf

position vs time
speed and acceleration