🇳🇴 🇬🇧 🇩🇪 🇨🇿 🇫🇮

Meteor, poloha: Gjerstad 2024-01-12 02:36:43 UTC

Soubor KML  |  InteraktivnĂ­ mapa

Mapa zobrazuje dráhy meteoru. Světlejší čáry ukazují směry od pozorovacích stanic při objevení se meteoru a tmavší čáry, kde byl naposledy viděn. Modrá šipka značí viditelnou dráhu meteoru.

static map
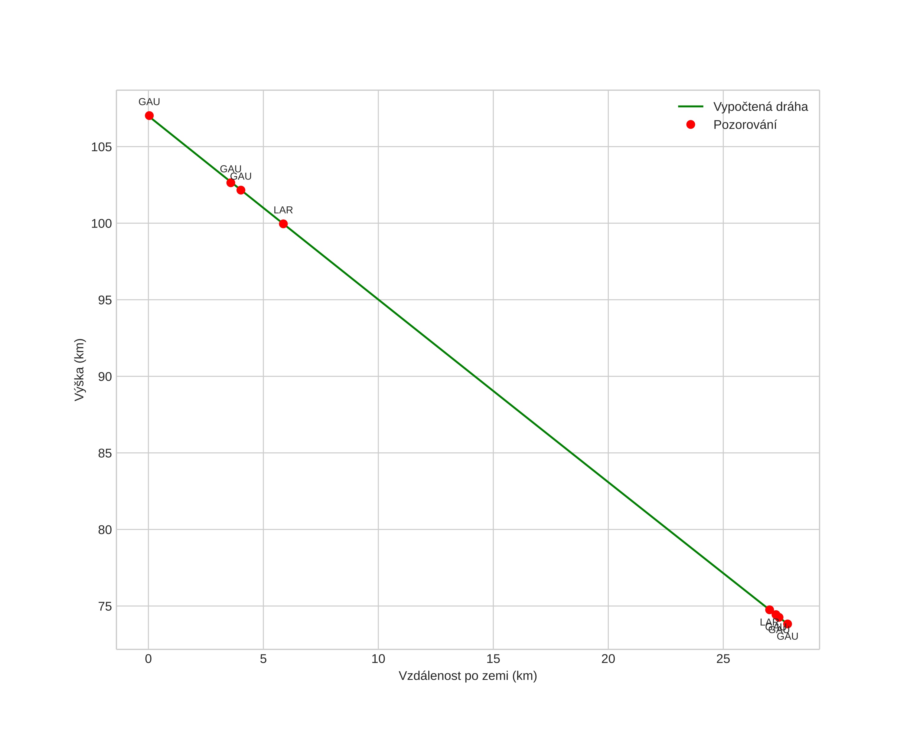
height profile
Atmosférická dráha meteoru:
Počáteční výška: 107,1 km
Konečná výška: 73,6 km
Počáteční poloha: 59,043N 9,289E
Konečná poloha: 58,940N 8,842E
Směr: 246,1°
Sklon: 50,1°
VstupnĂ­ rychlost: 40,5 km/s
Rektascenze radiantu: 15:35 (233,8°)
Deklinace radiantu: 52,1°
MeteorickĂ˝ roj: Kvadrantidy
Elementy dráhy meteoroidu:
Vzdálenost v periheliu: 0,983 AU
Excentricita: 0,671
Sklon dráhy: 67,0°
Délka vzestupného uzlu: 291,0°
Argument perihelia: 179,6°
Střední anomálie: 0,1°
Epocha: 2024 JAN 12 02:36:43
orbit plot

NeinteraktivnĂ­ graf | InteraktivnĂ­ graf

position vs time
speed and acceleration