🇳🇴 🇬🇧 🇩🇪 🇨🇿 🇫🇮

Meteor Älvdalenin yllä 2024-01-15 04:46:10 UTC

KML-tiedosto  |  Interaktiivinen kartta

Kartta näyttää meteorin suuntahavainnot. Vaaleammat viivat näyttävät suunnat havaintoasemilta meteorin ilmestyessä, ja tummemmat viivat näyttävät, missä se viimeksi nähtiin. Sininen nuoli näyttää meteorin näkyvän lennon.

static map
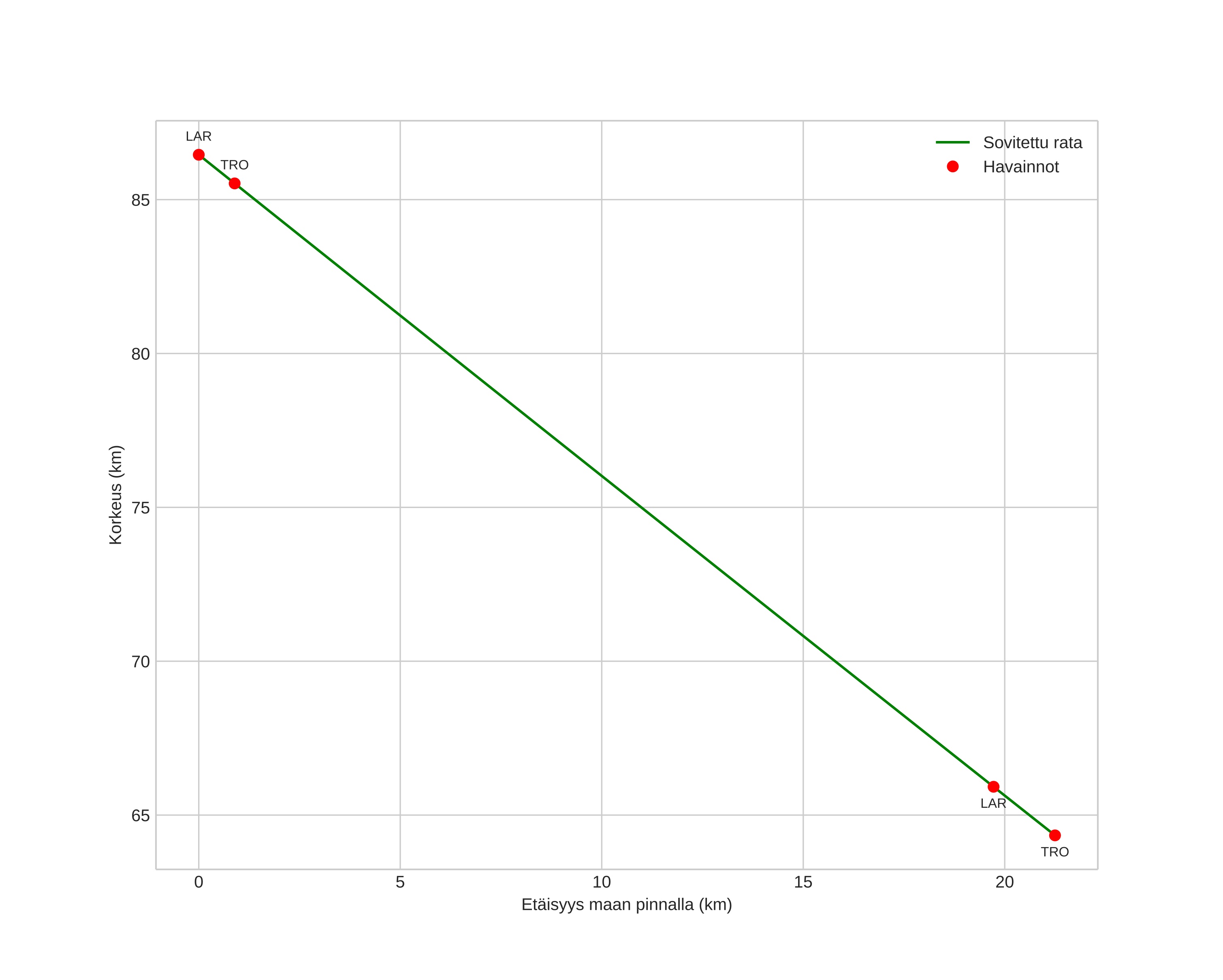
height profile
Meteorin ilmakehärata:
Alkukorkeus: 85,9 km
Loppukorkeus: 64,4 km
Alkupiste: 61,185N 13,838E
Loppupiste: 60,998N 13,952E
Suunta: 163,4°
Kallistuskulma: 44,8°
Tulonopeus: 17,0 km/s
Radiantin R,A,: 03:29 (52,4°)
Radiantin Dekl,: 64,4°
Meteoriparvi: Sporadinen
Meteoroidin rataelementit:
Perihelietäisyys: 0,949 AU
Eksentrisyys: 0,664
Inklinaatio: 13,6°
Nousevan solmun pituus: 294,2°
Perihelin argumentti: 204,3°
Keskianomalia: 356,2°
Epookki: 2024 JAN 15 04:46:10
orbit plot

Ei-interaktiivinen kuvaaja | Interaktiivinen kuvaaja

position vs time
speed and acceleration