🇳🇴 🇬🇧 🇩🇪 🇨🇿 🇫🇮

Meteor, poloha: Herre 2024-01-15 05:32:47 UTC

Soubor KML  |  InteraktivnĂ­ mapa

Mapa zobrazuje dráhy meteoru. Světlejší čáry ukazují směry od pozorovacích stanic při objevení se meteoru a tmavší čáry, kde byl naposledy viděn. Modrá šipka značí viditelnou dráhu meteoru.

static map
height profile
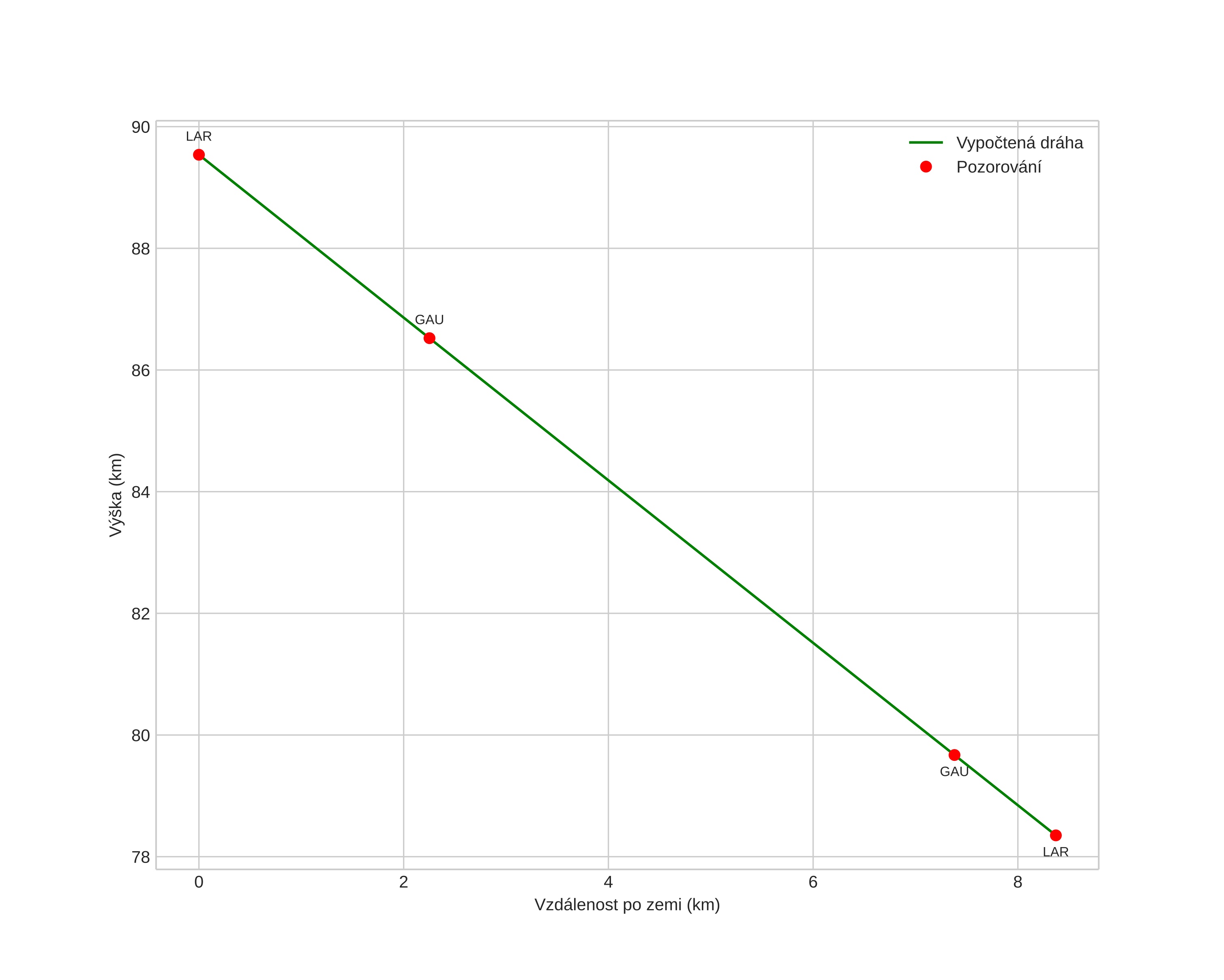
Atmosférická dráha meteoru:
Počáteční výška: 89,4 km
Konečná výška: 78,5 km
Počáteční poloha: 59,090N 9,525E
Konečná poloha: 59,036N 9,420E
Směr: 225,5°
Sklon: 52,2°
VstupnĂ­ rychlost: 22,0 km/s
Rektascenze radiantu: 19:47 (296,8°)
Deklinace radiantu: 62,8°
MeteorickĂ˝ roj: sporadickĂ˝
Elementy dráhy meteoroidu:
Vzdálenost v periheliu: 0,980 AU
Excentricita: 0,644
Sklon dráhy: 28,8°
Délka vzestupného uzlu: 294,2°
Argument perihelia: 172,2°
Střední anomálie: 1,3°
Epocha: 2024 JAN 15 05:32:47
orbit plot

NeinteraktivnĂ­ graf | InteraktivnĂ­ graf

position vs time
speed and acceleration