🇳🇴 🇬🇧 🇩🇪 🇨🇿 🇫🇮

Meteor, poloha: Straume 2024-01-19 19:58:19 UTC

Soubor KML  |  InteraktivnĂ­ mapa

Mapa zobrazuje dráhy meteoru. Světlejší čáry ukazují směry od pozorovacích stanic při objevení se meteoru a tmavší čáry, kde byl naposledy viděn. Modrá šipka značí viditelnou dráhu meteoru.

static map
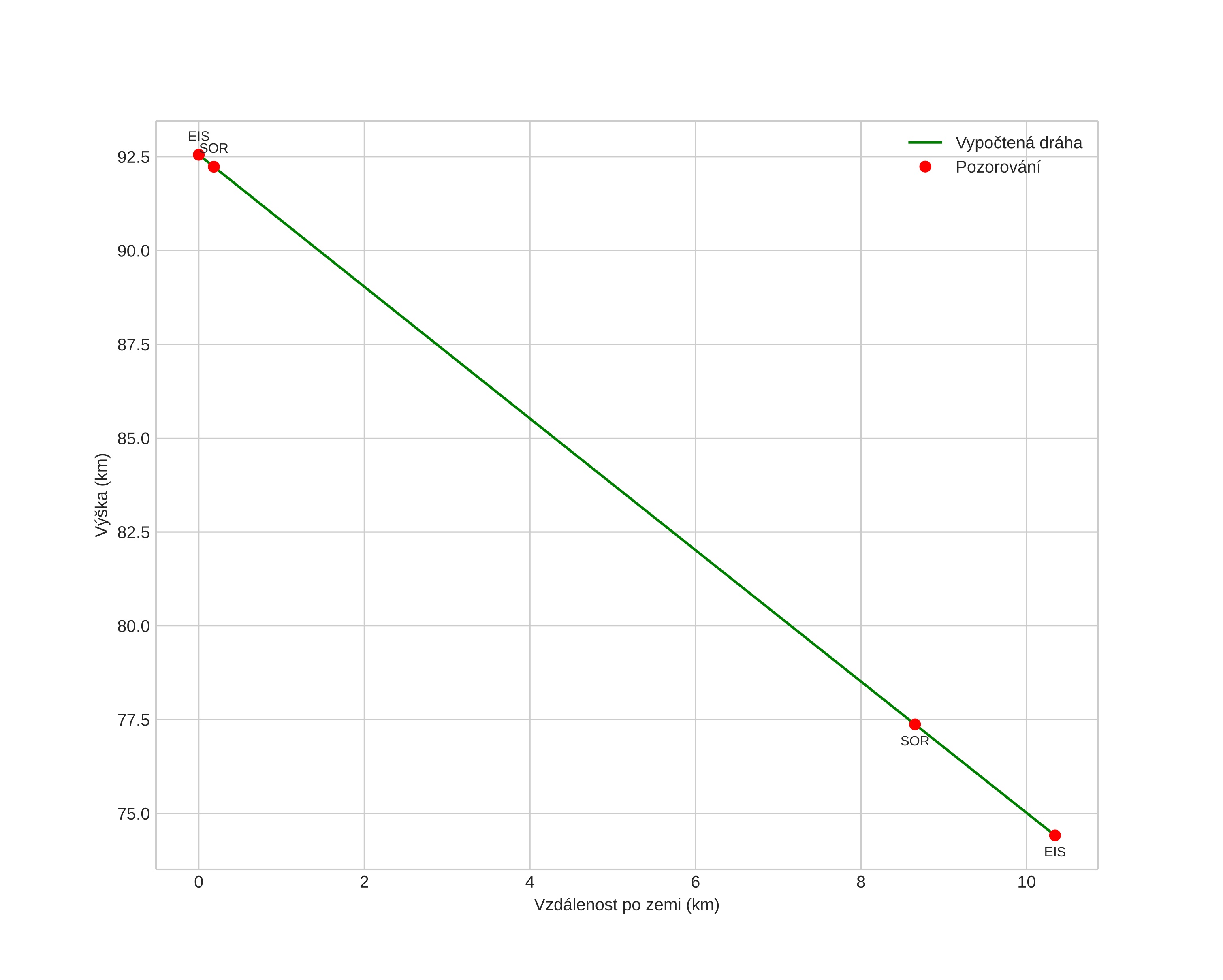
height profile
Atmosférická dráha meteoru:
Počáteční výška: 91,6 km
Konečná výška: 73,4 km
Počáteční poloha: 69,021N 14,536E
Konečná poloha: 69,106N 14,420E
Směr: 333,9°
Sklon: 60,1°
VstupnĂ­ rychlost: 19,2 km/s
Rektascenze radiantu: 05:56 (89,2°)
Deklinace radiantu: 37,4°
MeteorickĂ˝ roj: sporadickĂ˝
Elementy dráhy meteoroidu:
Vzdálenost v periheliu: 0,867 AU
Excentricita: 0,809
Sklon dráhy: 5,7°
Délka vzestupného uzlu: 298,9°
Argument perihelia: 222,8°
Střední anomálie: 357,1°
Epocha: 2024 JAN 19 19:58:19
orbit plot

NeinteraktivnĂ­ graf | InteraktivnĂ­ graf

position vs time
speed and acceleration